Вк тод
Список вопросов теста
Вопрос 1
Впишите вместо многоточия правильный ответ: запись вида
Вопрос 2
Впишите вместо многоточия правильный ответ: величина
Вопрос 3
Впишите вместо многоточия правильный ответ: величина
Вопрос 4
Впишите вместо многоточия правильный ответ: производная функции f(x) обозначается символом …
Вопрос 5
Впишите вместо многоточия правильный ответ: процедура дифференцирования, это …
Вопрос 6
Закончите фразу: если при вычислении предела получили выражение \(\frac{а}{0}\) , то этот предел равен …
(ответ занести словом)
Вопрос 7
Закончите фразу: если при вычислении предела получили выражение \(\frac{а}{\infty}\) , то этот предел равен …
(ответ занести числом)
Вопрос 8
Закончите фразу: если при вычислении предела получили одно из выражений \(\frac{0}{\infty},\frac{\infty}{\infty},\ \frac{0}{0},\ \infty^0,\ \infty^{\infty},\ 0^{\infty}\) , то говорят, что это …
Вопрос 9
В теории пределов для устранения неопределенности \(\frac{0}{0}\) , которая возникает из – за присутствия дроби с многочленами, необходимо …
Варианты ответов
- Разделить числитель и знаменатель на наивысшую степень переменной
- Подставить предельное значение переменной в выражение под знаком предела
- Домножить числитель и знаменатель дроби на сопряженное (числителю или знаменателю) выражение
- Разложить числитель и знаменатель на множители
Вопрос 10
В теории пределов чтобы вычислить предел необходимо …
Варианты ответов
- Разделить числитель и знаменатель на наивысшую степень переменной
- Подставить предельное значение переменной в выражение под знаком предела
- Домножить числитель и знаменатель дроби на сопряженное (числителю или знаменателю) выражение
- Разложить числитель и знаменатель на множители
Вопрос 11
Введите числовое значение предела
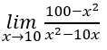
Вопрос 12
Введите числовое значение предела
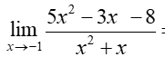
Вопрос 13
Введите числовое значение предела
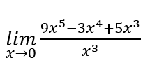
Вопрос 14
Введите числовое значение предела
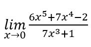
Вопрос 15
Введите числовое значение предела
Вопрос 16
(xn)'=
Варианты ответов
-
xn
-
xn+1
-
nxn
-
nxn+1
-
nxn-1
Вопрос 17
(C)'=
Варианты ответов
- С
- 1
- Сх
- 0
Вопрос 18
(ex)'=
Варианты ответов
-
ex
-
lnx
-
lne
-
ex-1
Вопрос 19
(ax)'=
Варианты ответов
-
\(а^х\)
-
\(а^{х-1}\)
-
\(а^х\cdot\ln a\)
-
\(\frac{a^x}{\ln a}\)
Вопрос 20
(cosx)'=
Варианты ответов
-
\(\sin x\)
-
\(-\sin x\)
-
\(-\cos x\)
-
\(arcc\cos x\)
Вопрос 21
(sinx)'=
Варианты ответов
-
\(\sin x\)
-
\(-\sin x\)
-
\(\cos x\)
-
\(arcc\cos x\)
Вопрос 22
(tgx)'=
Варианты ответов
-
\(\operatorname{ctg}x\)
-
\(ar\operatorname{ctg}x\)
-
\(\frac{1}{\cos^2x}\)
-
\(\frac{1}{\sin^2x}\)
Вопрос 23
(сtgx)'=
Варианты ответов
-
\(-\operatorname{ctg}x\)
-
\(ar\operatorname{ctg}x\)
-
\(-\frac{1}{\cos^2x}\)
-
\(-\frac{1}{\sin^2x}\)
Вопрос 24
(u
Варианты ответов
-
\(u'\pm v'\)
-
\(u'\cdot v+v'\cdot u\)
-
\(u'\cdot v'\)
-
\(u\pm v\)
Вопрос 25
(u\(\cdot\) v)′=
Варианты ответов
-
\(u'\cdot v-v'\cdot u\)
-
\(u'\cdot v+v'\cdot u\)
-
\(u'\cdot v'\)
-
\(u\pm v\)
Вопрос 26
Введите значение производной функции
Вопрос 27
Введите значение производной функции


