Межсессионная аттестация 1 курс 2 семестр
Список вопросов теста
Вопрос 1
Впишите вместо многоточия правильный ответ: запись вида
x→a читается как х…………к числу a.
Вопрос 2
Впишите вместо многоточия правильный ответ: величина x→0 называется …
Вопрос 3
Впишите вместо многоточия правильный ответ: величина x→\(\infty\) называется …
Вопрос 4
Закончите фразу: если при вычислении предела получили одно из выражений \(\frac{0}{0},\ \ \frac{\infty}{\infty},\ \ \frac{0}{\infty},\ \ ^{0^{\infty}},\ \infty^0\ \ ...\), то говорят, что это ...
Вопрос 5
Закончите фразу: если при вычислении предела получили выражение \(\frac{а}{0}\) , то этот предел равен …
(ответ занести словом)
Вопрос 6
Закончите фразу: если при вычислении предела получили выражение \(\frac{а}{\infty}\) , то этот предел равен …
(ответ занести числом)
Вопрос 7
В теории пределов чтобы вычислить предел, необходимо …
Варианты ответов
- Разделить числитель и знаменатель на наивысшую степень переменной
- Подставить предельное значение переменной в выражение под знаком предела
- Домножить числитель и знаменатель дроби на сопряженное (числителю или знаменателю) выражение
- Разложить числитель и знаменатель на множители
Вопрос 8
Вставьте пропущенные слова: Предел постоянной равен ...
Вопрос 9
Вставьте пропущенные слова: Предел суммы функций равен ...
Вопрос 10
Вставьте пропущенные слова: Предел произведения функций равен ...
Вопрос 11
Вставьте пропущенные слова: При вычислении предела постоянный множитель можно ...
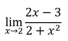
Вопрос 12
Введите числовое значение предела
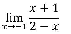
Вопрос 13
Введите числовое значение предела
(если получили дробь, то вносим ответ в виде 6/7; если получили десятичное число, то записываем его через запятую)
Вопрос 14
Впишите вместо многоточия правильный ответ: производная функции f(x) обозначается символом …
Вопрос 15
Впишите вместо многоточия правильный ответ: процедура дифференцирования, это …
Вопрос 16
(xn)'=
Варианты ответов
-
\(x^n\)
-
\(x^{n+1}\)
-
\(x^{n-1}\)
-
\(1\)
-
\(n\cdot x^{n-1}\)
Вопрос 17
(C)'=
Вопрос 18
(x)'=
Вопрос 19
(ex)'=
Варианты ответов
-
\(x\cdot e^{x-1}\)
-
\(\ln x\)
-
\(e^{x-1}\)
-
\(e^x\)
Вопрос 20
(cosx)'=
Вопрос 21
(sinx)'=
Вопрос 22
(tgx)'=
Варианты ответов
-
\(\frac{1}{\cos x}\)
-
\(\frac{1}{\cos^2x}\)
-
\(-\frac{1}{\cos^2x}\)
-
(ctgx)'=
Вопрос 23
(u+ v)′=...
Вопрос 24
(u-v)′=...
Вопрос 25
(u\(\cdot\)v)′=
Варианты ответов
-
\(u'\cdot v-v'\cdot u\)
-
\(u'\cdot v+v'\cdot u\)
-
\(u'\cdot v'\)
-
\(\frac{u'v-v'u}{v^2}\)
Вопрос 26
Варианты ответов
-
\(\frac{u'\cdot v-v'\cdot u}{v}\)
-
\(\frac{u'\cdot v+v'\cdot u}{v^2}\)
-
\(\frac{u'}{v'}\)
-
\(\frac{u'v-v'u}{v^2}\)
Вопрос 27
Если производная функции y=f(x)>0, то график функции...
Варианты ответов
- возрастает
- убывает
- симметричен относительно оси OY
- параллелен оси OX
Вопрос 28
Закончите фразу: Если производная функции y=f(x)<0, то график функции...
Вопрос 29
Закончите фразу: Если вторая производная функции y=f(x) меньше 0, то график функции...
Вопрос 30
Закончите фразу: Если вторая производная функции y=f(x) больше 0, то график функции...


