Метод интервалов
Белозерова Евгения Александровна
18.05.2022.
Тест. Алгебра, 9 класс
Тест содержит 8 заданий. Решения заданий кратко записывайте в тетрадь.
Система оценки:
5* балльная
Список вопросов теста
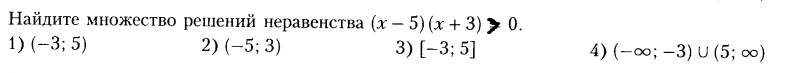
Вопрос 1

Варианты ответов
- 1
- 2
- 3
- 4
Вопрос 2

Варианты ответов
- 1
- 2
- 3
- 4
Вопрос 3

Варианты ответов
- 1
- 2
- 3
- 4
Вопрос 4

Варианты ответов
- 1
- 2
- 3
- 4
Вопрос 5

Варианты ответов
- 1
- 2
- 3
- 4
Вопрос 6

Варианты ответов
- 1
- 2
- 3
- 4
Вопрос 7

Варианты ответов
- 2
- 3
- 4
- 5
Вопрос 8

Варианты ответов
- 2
- 3
- 4
- 5
Получите комплекты видеоуроков + онлайн версии
Пройти тест
Сохранить у себя:
Тесты по алгебре 9 класс
0
180
Нравится
0


