Матрицы. Виды матриц
Список вопросов теста
Вопрос 1
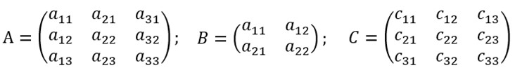
Матрицей размера m
Числа, составляющие матрицу, называются элементами матрицы.
В какой (-их) из представленных ниже матриц верно записаны её элементы?


Варианты ответов
- А
- В
- С
Вопрос 2
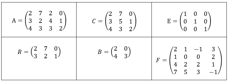
Дана матрица А.

Чему равен элемент а23?
Варианты ответов
- 1
- 7
- 3
Вопрос 3
Продолжите предложение.
Матрица, у которой число строк равно числу столбцов, называется…

Варианты ответов
- квадратной матрицей n-го порядка;
- прямоугольной матрицей;
- единичной матрицей.
Вопрос 4
Выберите номера рисунков, на которых верно указаны единичные матрицы.


Варианты ответов
- 1
- 2
- 3
- 4
Вопрос 5
Выберите матрицу (матрицы), у которой (-ых) верно выделены элементы, стоящие на главной диагонали.


Варианты ответов
- A
- B
- C
- D
Вопрос 6
Выберите равные матрицы.


Варианты ответов
- А, С и D
- A и D
- В и К
- R и P
- С и В
Вопрос 7
Установите соответствие между квадратными и прямоугольными матрицами.


1.
Прямоугольные матрицы
2.
Квадратные матрицы
Варианты ответов
- A
- C
- E
- R
- B
- F


