Математика ОГЭ Вариант 10
Список вопросов теста
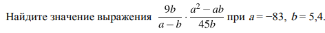
Вопрос 1

Варианты ответов
- 9
- 6
- 7
- 8
- 10
- 11
- 12
Вопрос 2
Найдите примерную ширину MN теплицы в метрах. Число π возьмите равным 3,14. Результат округлите до десятых
Варианты ответов
- 3,3
- 5,2
- 3,2
- 5,3
- 3,1
- 5,1
Вопрос 3
Найдите примерную площадь участка внутри теплицы в квадратных метрах. Ответ округлите до целых.
Варианты ответов
- 15
- 12
- 13
- 14
- 16
- 17
- 18
- 19
Вопрос 4
Сколько квадратных метров плёнки нужно купить для теплицы с учётом передней и задней стенок, включая дверь? Для крепежа плёнку нужно покупать с запасом 10 %. Число π возьмите равным 3,14. Ответ округлите до целых.
Варианты ответов
- 35
- 33
- 37
- 31
- 39
- 41
Вопрос 5
Найдите примерную высоту входа в теплицу в метрах. Число π возьмите равным 3,14. Ответ округлите до десятых.
Варианты ответов
- 1,4
- 1,2
- 1,3
- 1,5
- 1,6
- 1,7
Вопрос 6

Варианты ответов
- -2
- -10
- 0,2
- 0,5
- -0,5
- 2
- 10
- -0,5
Вопрос 7

Варианты ответов
- 2
- 1
- 3
- 4
Вопрос 8

Варианты ответов
- -16,6
- -17,68
- -15,52
Вопрос 9

Варианты ответов
- 6
- 3
- -3
- -6
- 0
- 12
- -12
Вопрос 10
На тарелке лежат одинаковые на вид пирожки: 4 с мясом, 8 с капустой и 3 с вишней. Петя наугад выбирает один пирожок. Найдите вероятность того, что он окажется с вишней.
Варианты ответов
- 0,2
- 0,8
- 0,4
- 0,6
- 0,5
- 0,25
Вопрос 11

Варианты ответов
- 243
- 234
- 213
- 231
- 214
- 241
- 123
- 132
- 124
- 142
- 312
- 321
- 314
Вопрос 12

Варианты ответов
- 131
- 67
- 121
- 119
- 79
- 87
- 99
- 137
Вопрос 13

Варианты ответов
- -3
- -6
- 3
- 6
- 7
- 10
- -7
- -10
Вопрос 14

Варианты ответов
- 600
- 200
- 300
- 400
- 900
Вопрос 15
В треугольнике ABC AB = BC = 50, AC = 96. Найдите длину медианы BM
Варианты ответов
- 14
- 2
- 12
Вопрос 16

Варианты ответов
- 10
- 12
- 11
Вопрос 17
В треугольнике ABC отмечены середины M и N сторон BC и AC соответственно. Площадь треугольника CNM равна 67. Найдите площадь четырёхугольника ABMN.
Варианты ответов
- 201
- 268
- 67
- 134
Вопрос 18

Варианты ответов
- 20
- 10
- 20,5
- 40
- 12,5
- 18,5
Вопрос 19
Какие из следующих утверждений верны?
1. Длина гипотенузы прямоугольного треугольника меньше суммы длин его катетов.
2. В тупоугольном треугольнике все углы тупые.
3. Средняя линия трапеции равна полусумме её оснований.
Варианты ответов
- 1
- 2
- 3


