Математика ОГЭ №13 Решение неравенств
Семенова Светлана Александровна
12.11.2021.
Тест. Математика, 9 класс
Выбрать единственный правильный ответ из всех предложенных
Система оценки:
5* балльная
Список вопросов теста
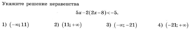
Вопрос 1

Варианты ответов
- 3
- 1
- 2
- 4
Вопрос 2

Варианты ответов
- 4
- 1
- 2
- 3
Вопрос 4

Варианты ответов
- 3
- 1
- 2
- 4
Вопрос 6

Варианты ответов
- 2
- 1
- 3
- 4
Вопрос 7

Варианты ответов
- 4
- 1
- 2
- 3
Вопрос 8

Варианты ответов
- 3
- 1
- 2
- 4
Вопрос 9

Варианты ответов
- 2
- 1
- 3
- 4
Вопрос 11

Варианты ответов
- 1
- 2
- 3
- 4
Вопрос 12

Варианты ответов
- 1
- 2
- 3
- 4
Вопрос 14

Варианты ответов
- 2
- 1
- 3
- 4
Вопрос 15

Варианты ответов
- 4
- 1
- 2
- 3
Вопрос 16

Варианты ответов
- 4
- 1
- 2
- 3
Получите комплекты видеоуроков + онлайн версии
Пройти тест
Сохранить у себя:
Тесты по математике 9 класс
0
270
Нравится
0






