Математический и пружинный маятники
Список вопросов теста
Вопрос 1
Маятник - это
Варианты ответов
- твердое тело, совершающее под действием приложенных сил колебания около неподвижной точки или вокруг оси
- твердое тело, совершающее под действием приложенных сил колебания
- тело, подвешенное на нити или пружине
- Среди ответов нет правильного
Вопрос 2
На рисунке представлен маятник. Как он называется?

Вопрос 3
На рисунке представлен маятник. Как он называется?

Вопрос 4
Математический маятник - это модель малых реальных колебаний тела при условии, что можно пренебречь:
Варианты ответов
- размерами подвешенного тела по сравнению с длиной нити
- сопротивлением движению тела
- массой нити и её деформацией
- массой шарика
Вопрос 5
Условия использования формулы Гюйгенса:
1.
Да
2.
Нет
Варианты ответов
- колебания маятника должны быть малыми;
- точка подвеса маятника должна покоиться или двигаться прямолинейно и равномерно относительно ИСО.
- точка подвеса маятника должна двигаться ускоренно
- амплитуда колебаний маятника должна быть очень большой
Вопрос 6
Колебательная система, состоящая из МТ массой m и пружины жёсткостью k
1.
математический маятник
2.
пружинный маятник
3.
конический маятник
Варианты ответов
- Колебательная система, состоящая из МТ массой m и пружины жёсткостью k
- Материальная точка, подвешенная на невесомой и нерастяжимой нити, прикреплённой к подвесу и находящейся в поле силы тяжести.
Вопрос 7
Сопоставьте определения и понятия.
1.
математический маятник
2.
пружинный маятник
3.
вертикальный пружинный маятник
4.
горизонтальный пружинный маятник
Варианты ответов
- маятник, в котором колебания тела происходят вдоль вертикальной прямой.
- маятник, в котором колебания тела происходят вдоль горизонтальной прямой.
- колебательная система, состоящая из МТ массой m и пружины жёсткостью k.
- маятник, в котором колебания тела происходят вдоль горизонтальной прямой.
Вопрос 8
Причинами свободных колебаний пружинного маятника являются
Варианты ответов
- действие сил упругости
- инертность тела
- действие силы тяжести
- действие силы нормальной реакции опоры
Вопрос 9
Сопоставьте
1.
динамическое уравнение пружинного маятника
2.
динамическое уравнение математического маятника
3.
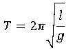
период колебаний математического маятника
4.
период колебаний пружинного маятника
Варианты ответов
- a = - kx/m
- a = - gs/l
-

-

Вопрос 10
Причинами свободных колебаний математического маятника являются
Варианты ответов
- действие силы упругости
- инертность тела
- действие силы тяжести
- скорость движения точки подвеса маятника




