Maths new
Keleshek mektebi
24.04.2020.
Тест. Математика, 11 класс
Education is weapon which can change the world. Nelson Mandela
Система оценки:
5 балльная
Список вопросов теста
Вопрос 1
Варианты ответов
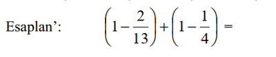
- 96;72
- 96;64
- 72;96
- 92;76
Вопрос 2
Варианты ответов
- 8000
- 6462
- 7192
- 6912
Вопрос 3
Варианты ответов
- 4040
- 6060
- 2023
- 2021
Вопрос 4

Варианты ответов
Вопрос 5
80
Варианты ответов
- 60
- 64
- 72
- 48
Вопрос 6
Dońgelek 5 minutta júredi. Ol 15 minutta neshe metr júredi?
Варианты ответов
- 36
- 54
- 24
- 48
Вопрос 7
14% ke arzanlastirilģannan keyin ónimniń bahasi 2150 swm boldi. Ónimniń dáslepki bahasin aniqlań.
Варианты ответов
- 2250
- 2500
- 2750
- 3000
Вопрос 8
Ģarbiz 100 som jane yarim ģarbiz bahasi qunina teo. Ģarbiz qansha turadi?
Варианты ответов
- 150
- 50
- 200
- 100
Вопрос 9
Buyimnio baxasi 23400 som edi. Buyim aldin bul baxanio 2/15 bólegine arzanlasti. Málim waqit otkennen soo, jaoa baha ózinio 2/15 bólegine qimbatlasti. Endi buyimnio baxasi neshe som bolip qaldi?
Варианты ответов
- 22000 som
- 22984 som
- 21984 som
- 21894 som
Вопрос 10

Варианты ответов
- 73/7
- 53/7
- 12/7
- 54/7
Вопрос 11

Варианты ответов
- 10/6
- 11/40
- 10/120
- 4
Вопрос 12
Ayiqcha o’yinchoq 56 so’m turadi. 560112 so’mga nechta ayiqcha olish mumkin?
Варианты ответов
- 12 ta
- 10002 ta
- 1002 ta
Вопрос 13

Варианты ответов
Вопрос 14

Варианты ответов
- 3
- 2
- 4
- 1
Вопрос 15
Варианты ответов
- 12
- 24
- 48
- 16
Получите комплекты видеоуроков + онлайн версии
Пройти тест
Сохранить у себя:
Тесты по математике 11 класс
0
79
Нравится
0










