Линейное уравнение с параметром
Список вопросов теста
Вопрос 1
Укажите, при каких значениях коэффициент перед x равен нулю: (2a-4)x+25=0.
Вопрос 2
Составьте верное соответствие между значениями параметра и решениями уравнения (5a+1)x+25a2+10a+1=0.
1.
x - любое число
2.
-5a-1
Варианты ответов
- a≠-1/5
- a=-1/5
Вопрос 3
При каких значениях параметра a уравнение ax+6=12x+5a не имеет корней?
Вопрос 4
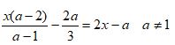
Укажите решения уравнения:
Варианты ответов
- x=-a+2
- x=-a-2
- x=a-2
- x=a+2
Вопрос 5
Укажите значение параметра, при котором уравнение 5x-a=ax+3 не имеет решений.
Вопрос 6
Укажите значения параметра, при которых коэффициент перед x равен нулю в уравнении: (5-a)x=13
Вопрос 7
При каком значении параметра a, решением уравнения:
будет любое число?
Вопрос 8
Составьте верное соответствие между значениями параметра и решениями уравнения
a2x-1=x+a
1.
x=1/(a-1)
2.
x - любое число
3.
решений нет
Варианты ответов
- a≠-1 и a≠1
- a=1
- a=-1
Вопрос 9
При каких значениях параметра корень уравнение ax+6=12x+5a равен 0? Ответ запишите десятичной дробью, разделяя целую часть от дробной - запятой.
Вопрос 10
Составьте верное соответствие между значениями a и b и решениями уравнения с параметром ax=b.
1.
нет решений
2.
x=b/a
3.
x - любое число
Варианты ответов
- a≠0
- a=0, b=0
- a=0, b≠0


