Межсессионная аттестация КОМ по ЕН.01 Математика
Список вопросов теста
Вопрос 1
Порядок может быть только у матрицы следующего вида
Варианты ответов
- прямоугольная
- квадратная
- матрица - строка
- любая
Вопрос 2
Матрицей называется:
Варианты ответов
- таблица элементов
- число;
- вектор;
- функция.
Вопрос 3
Системой трёх линейных уравнений с тремя неизвестными называется…
Варианты ответов
Вопрос 4
Если определитель системы линейных уравнений не равен нулю, то система...
Варианты ответов
- имеет бесконечное множество решений;
- не имеет решения;
- имеет единственное решение;
- имеет два решения.
Вопрос 5
Для решения системы линейных уравнений методом Крамера используют формулы…
Варианты ответов
Вопрос 6
Прямоугольной матрицей называют...
Варианты ответов
- матрицу, у которой количество строк равно количеству столбцов;
- матрицу, у которой количество строк не равно количеству столбцов;
- матрицу, у которой ниже главной диагонали лежат нули;
- матрицу, определитель которой равен нулю.
Вопрос 7
Произведение матрицы А размерностью 7х8 на матрицу В существует, если размерность матрицы В равна
Варианты ответов
- 7х8
- 7х7
- 8х8
- 7х9
Вопрос 8
Алгебраическим дополнением элемента aij матрицы A является…
Варианты ответов
-
Mij
-
aij
-
\(\left(-1\right)^{i+j}\cdot M_{ij}\)
-
\(\left(-1\right)^{ij}\cdot\left|A\right|\)
Вопрос 9
Среди предложенных матриц укажите единичную:
Варианты ответов
Вопрос 10
Квадратной матрицей называют…
Варианты ответов
- матрицу, определитель которой равен нулю;
- матрицу, у которой количество строк не равно количеству столбцов;
- матрицу, у которой количество строк равно количеству столбцов;
- строку матрицу
Вопрос 11
Среди предложенных матриц укажите треугольную:
Варианты ответов
Вопрос 12
Определитель, полученный из матрицы, путём вычеркивания столбца и строки, на пересечении которых стоит элемент aij называется…
Варианты ответов
- минором для элемента aij;
- алгебраическим дополнением для элемента ai;
- обратной матрицей для элемента aij;
- характеристическим значением для элемента aij
Вопрос 13
Система линейных алгебраических уравнений имеет единственное решение, если…
Варианты ответов
- определитель системы и все вспомогательные определители равны нулю;
- определитель системы равен нулю, а хотя бы один из вспомогательных определителей не равен нулю;
- определитель системы не равен нулю
- определитель системы не существует
Вопрос 14
определитель
равен...
Варианты ответов
- 0
- 1
- 2
- 3
Вопрос 15
Варианты ответов
-
-
-
-
0
Вопрос 16
Система линейных алгебраических уравнений имеет бесконечное множество решений, если…
Варианты ответов
- определитель системы и все вспомогательные определители равны нулю;
- определитель системы равен нулю, а хотя бы один из вспомогательных определителей не равен нулю;
- определитель системы не равен нулю
- определитель системы равен единице.
Вопрос 17
Среди предложенных матриц укажите диагональную:
Варианты ответов
Вопрос 18
Если в определителе две строки поменять местами, то …
Варианты ответов
- он будет равен нулю;
- он будет равен единице;
- он изменит свой знак на противоположный;
- ничего не изменится.
Вопрос 19
Если в определителе два столбца пропорциональны, то …
Варианты ответов
- он будет равен нулю;
- он будет равен единице;
- он изменит свой знак на противоположный;
- ничего не изменится.
Вопрос 20
Матрицей системы линейных алгебраических уравнений называется матрица...
Варианты ответов
- составленная для неизвестных
- составленная из свободных членов
- составленная из коэффициентов при неизвестных
- составленная из коэффициентов при неизвестных плюс столбец свободных членов
Вопрос 21
Среди указанных уравнений укажите линейные
(ответ может быть не один)
Варианты ответов
-
\(3x-\frac{6}{y}=7\)
-
\(3x-5xy+4=0\)
-
\(3x-5y+4z=0\)
-
\(\frac{x}{3}-\frac{y}{4}+\frac{z}{6}=1\)
-
\(x^2+2x-4=0\)
-
\(\sin x+2y-1=0\)
-
\(y=5-x-z\)
Вопрос 22
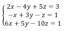
Дана система линейных алгебраических уравнений:
вспомогательный определитель \(_{\bigtriangleup_y}\)имеет вид:
Варианты ответов
Вопрос 23
Сумма элементов главной диагонали матрицы
Вопрос 24
Произведение элементов побочной диагонали матрицы


