Пределы . ЕН.01 Математика БД
Список вопросов теста
Вопрос 1
Закончите фразу: если при вычислении предела получили одно из выражений \(\frac{0}{\infty},\ \frac{\infty}{0},\ \frac{0}{0},\ \frac{\infty}{\infty},\ \infty^0,\ 0^0,\ 0^{\infty}\) , то говорят, что это …
Вопрос 2
Закончите фразу: если при вычислении предела получили выражение \(\frac{а}{0}\) , то этот предел равен …
(ответ занести словом)
Вопрос 3
В теории пределов для устранения неопределенности \(\frac{0}{0}\) , которая возникает из – за присутствия дроби с многочленами, необходимо …
Варианты ответов
- Разделить числитель и знаменатель на наивысшую степень переменной
- Подставить предельное значение переменной в выражение под знаком предела
- Домножить числитель и знаменатель дроби на сопряженное (числителю или знаменателю) выражение
- Разложить числитель и знаменатель на множители
Вопрос 4
В теории пределов для устранения неопределенности \(\frac{\infty}{\infty}\) , которая возникает из – за присутствия дроби с многочленами, необходимо …
Варианты ответов
- Разделить числитель и знаменатель на наивысшую степень переменной
- Подставить предельное значение переменной в выражение под знаком предела
- Домножить числитель и знаменатель дроби на сопряженное (числителю или знаменателю) выражение
- Разложить числитель и знаменатель на множители
Вопрос 5
В теории пределов чтобы вычислить предел, необходимо …
Варианты ответов
- Разделить числитель и знаменатель на наивысшую степень переменной
- Подставить предельное значение переменной в выражение под знаком предела
- Домножить числитель и знаменатель дроби на сопряженное (числителю или знаменателю) выражение
- Разложить числитель и знаменатель на множители
Вопрос 6
Предел вида называется...
Вопрос 7
Введите числовое значение предела
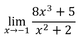
Вопрос 8
Введите числовое значение предела
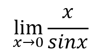
Вопрос 9
Введите числовое значение предела
(если в результате вычисления получили не целое число, то ответ записать десятичной дробью)
Вопрос 10
Введите значение производной функции \(y=-2x^3+3x^2-8x+10\) при \(x=-2\)
Вопрос 11
Введите значение производной функции \(y=\sin\left(6x\right)-12x\) при \(x=\frac{\pi}{12}\)
Вопрос 12
Предел вида называется...
Вопрос 13
Запись вида \(x\rightarrow a\) читается как "x .... к а"
Вопрос 14
Если \(x\rightarrow0\), то такую величину называют " ....величина"
Вопрос 15
Если \(x\rightarrow\infty\), то такую величину называют " ....величина"
Вопрос 16
Если \(x\rightarrow0\), то \(\frac{1}{x}\) - .... величина
Вопрос 17
Если \(x\rightarrow\infty\), то \(\frac{1}{x}\) - .... величина
Вопрос 18
предел отношения приращения функции к приращению ее аргумента, когда последний стремится к нулю, называется... функции
Вопрос 19
производная функции обозначается символом...
Вопрос 20
Если x1 начальное значение переменной, x2 - новое значение переменной, то выражение вида x2-x1 называется... переменной
Вопрос 21
введите значение приращения переменной x, если начальное ее значение равно 5, а новое -10
Вопрос 22
введите значение приращения функции \(y=3x^2-5x+1\), если начальное значение ее аргумента равно 1, а новое -3
Вопрос 23
процедура дифференцированияфункции - это процедура нахождения... функции


