Квадратные уравнения
Список вопросов теста
Вопрос 1
Выберите числа, которые являются корнями квадратного уравнения:
.
Варианты ответов
-
-
-
4
-
-4
Вопрос 2
Среди предложенных уравнений выберите те, которые являются полными квадратными уравнениями.
Варианты ответов
Вопрос 3
Среди предложенных уравнений выберите те, которые являются неполными квадратными уравнениями.
Варианты ответов
Вопрос 4
Укажите уравнения, которые не имею корней.
Варианты ответов
Вопрос 5
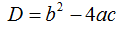
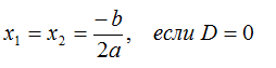
Укажите верные формулы, которые применяются для решения квадратных уравнений:
Варианты ответов
Вопрос 6
Укажите уравнения, которые имеют два различных корня:.
Варианты ответов
Вопрос 7
Выберите числа, которые являются корнями квадратного уравнения:
.
Варианты ответов
- 1
- 2
- 3
- 4
Вопрос 8
Решите уравнение:

Если уравнение имеет два различных корня, то запишите их в порядке возрастания, разделяя одним пробелом. Если корнями уравнения будут дробные числа, то записать их в виде десятичной дроби, отделяя целую часть от дробной запятой. Если корнями уравнения будут отрицательные числа, то пробел между минусом и числом не ставить. Например: -4,5 6
Вопрос 9
Решите уравнение:

Если уравнение имеет два различных корня, то запишите их в порядке возрастания, разделяя одним пробелом. Если корнями уравнения будут дробные числа, то записать их в виде десятичной дроби, отделяя целую часть от дробной запятой. Если корнями уравнения будут отрицательные числа, то пробел между минусом и числом не ставить. Например: -4,5 6
Вопрос 10
Решите уравнение:

Если уравнение имеет два различных корня, то запишите их в порядке возрастания, разделяя одним пробелом. Если корнями уравнения будут дробные числа, то записать их в виде десятичной дроби, отделяя целую часть от дробной запятой. Если корнями уравнения будут отрицательные числа, то пробел между минусом и числом не ставить. Например: -4,5 6


















