КПД тепловых двигателей
Список вопросов теста
Вопрос 1
У тепловой машины, работающей по циклу Карно, температура нагревателя в n = 1,6 раз больше температуры холодильника. За один цикл машина производит работу A = 12 кДж. Какая работа (в Кдж) затрачивается на изотермическое сжатие рабочего вещества?
Вопрос 2
В каком случае КПД цикла Карно повысится больше: при увеличении температуры нагревателя на DT или при уменьшении температуры холодильника на ту же DT?
Варианты ответов
- При уменьшении температуры холодильника
- При увеличении температуры нагревателя
- Повышение будет одинаковым в обоих случаях
Вопрос 3
Идеальный одноатомный газ совершает замкнутый процесс. Определить КПД цикла.

Варианты ответов
- 17,4 %
- 22,3 %
- 15,1 %
- 28 %
Вопрос 4
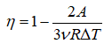
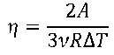
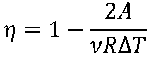
Найти КПД тепловой машины, работающей с n молями одноатомного идеального газа по циклу, состоящему из адиабаты 1 - 2, изотермы 2 - 3 и изохоры 3 - 1. Работа, совершенная над газом на участке 2 - 3 равна A, разность максимальной и минимальной температур в цикле равна DT.
Варианты ответов
Вопрос 5
Холодная машина, работающая по обратному циклу Карно, должна поддерживать в камере температуру t2 = -10 °С при температуре окружающей среды t1 = 20 °С. Какую работу в кДж надо совершить над рабочим веществом машины, чтобы отвести из камеры машины Q = 140 кДж тепла? (Ответ округлите до целого числа)
Вопрос 6
Идеальная тепловая машина, работающая по обратному циклу, получает тепло от холодильника с водой при температуре t1 = 0 °С и передает тепло кипятильнику с водой при t2 = 100 °С. Сколько воды надо заморозить, чтобы испарить m = 1 кг воды?
Варианты ответов
- 5 кг
- 800 г
- 12 кг
- 8256 г
Вопрос 7
После переделки тепловой машины периодического действия ее мощность увеличилась на a = 10 %. Причем энергия, получаемая от нагревателя не изменилась, а отдаваемая холодильнику уменьшилась на b = 15 %. На сколько изменился к.п.д. машины?
Вопрос 8
Идеальная тепловая машина, работающая по циклу Карно, получает от нагревателя с температурой 493 оС количество теплоты 80 кДж. Холодильником является окружающий воздух с температурой 20 оС. Максимальная высота, на которую эта машина может поднять груз массой 500 кг, составляет:
Варианты ответов
- 3,1 м
- 9,9 м
- 99 см
- 11 м
- 13 м
Вопрос 9
Один моль гелия совершает цикл, состоящий из двух изохор и двух изобар. При этом максимальное давление в 2 раза больше минимального, а максимальный объем в 3 раза больше минимального. Определите КПД цикла.
Вопрос 10
Идеальная холодильная машина, работающая по обратному циклу Карно, использует в качестве холодильника тающий лед при температуре 0 оС, а в качестве нагревателя - кипяток при 100 оС. Холодильная машина получает от сети энергию 25 кДж. Если удельная теплота плавления льда 3,25 · 105 Дж/кг, то масса полученного льда равна:
Варианты ответов
- 58 г
- 105 г
- 153 г
- 182 г
- 210 г






