Координаты вектора вариант 3
Список вопросов теста
Вопрос 1
Запишите координаты данного вектора, если его разложение покоординатным векторам имеет вид:
В ответе укажите полученные значения, отделяя их одним пробелом. Первым при этом введите значение x, вторыи - значение y
Вопрос 2
Запишите разложения данного вектора
по координатным векторам. В ответе запишите равенство не используя пробел.
Вопрос 3
Найдите координаты вектора
, если
. В ответе укажите полученные значения, отделяя их одним пробелом. Первым при этом введите значение x, вторыи - значение y.
Вопрос 4
Найдите координаты вектора
, если
. В ответе укажите полученные значения, отделяя их одним пробелом. Первым при этом введите значение x, вторыи - значение y.
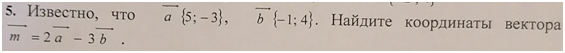
Вопрос 5
В ответе укажите полученные значения, отделяя их одним пробелом. Первым при этом введите значение x, вторыи - значение y.
Вопрос 6
В ответе укажите полученные значения, отделяя их одним пробелом. Первым при этом введите значение x, вторыи - значение y
Вопрос 7
В ответе укажите векторы на латинице, отделяя их одним пробелом.


