Контрольный тест №1
Автор скрыт
06.10.2020.
Тест. Алгебра, 8 класс
Будьте внимательны! Система оценивания - 5 балльная.
Система оценки:
5 балльная
Список вопросов теста
Вопрос 1
Сократить дробь: 
Варианты ответов
-
\(\frac{39х}{26у}\)
-
\(\frac{13х}{2у}\)
-
\(\frac{3х}{2у}\)
-
\(\frac{2у}{3х}\)
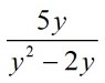
Вопрос 2
Сократить дробь: 
Варианты ответов
-
\(\frac{5}{у-2}\)
-
\(\frac{5у}{у\left(у-2\right)}\)
-
\(\frac{5}{у^2-2}\)
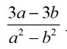
Вопрос 3
Сократить дробь: 
Варианты ответов
-
\(\frac{3\left(а+в\right)}{а^2-в^2}\)
-
\(\frac{3}{а^{ }-в^{ }}\)
-
\(\frac{3}{а+в}\)
-
\(\frac{3}{а^2+в^2}\)
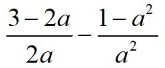
Вопрос 4
Представить в виде дроби:
Варианты ответов
-
\(\frac{3a-2}{2a^2}\)
-
\(\frac{3a+2}{2a^{ }}\)
-
\(\frac{4a^2+3a-2}{2a^2}\)
-
\(\frac{4a^2-3a+2}{2a}\)
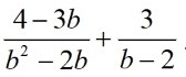
Вопрос 5
Представить в виде дроби: 
Варианты ответов
-
\(\frac{4-3b+3b}{b\left(b-2\right)}\)
-
\(\frac{4}{b\left(b-2\right)}\)
-
\(\frac{4}{b^2-2b}\)
-
\(\frac{4}{b-2}\)
Вопрос 6
Найти значение выражения:
(в ответ написать число)
Вопрос 7
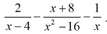
Упростить выражение: 
Варианты ответов
-
\(\frac{х}{х^2-16}\)
-
\(\frac{х+16}{х^2-16}\)
-
\(\frac{16}{х^3-16х}\)
-
\(\frac{16}{х^216}\)
Получите комплекты видеоуроков + онлайн версии
Пройти тест
Сохранить у себя:
Тесты по алгебре 8 класс
0
94
Нравится
0


