Контрольная работа №7
Иванов Никита Георгиевич
27.01.2022.
Тест. Математика, 6 класс
Контрольная работа №7 «Рациональные числа. Сравнение рациональных чисел»
Система оценки:
5 балльная
Список вопросов теста
Вопрос 1

Варианты ответов
Вопрос 2

Варианты ответов
- Натуральные:2; 0; 28
- Натуральные:2; 28
- Целые:2; -3; 0; -5,6; 9,1
- Целые:2; -3; 0; 28; -23
- Целые отрицательные:-3; -23;
-
Дробные отрицательные: -5,6; \(-1\frac{1}{3}\)
Вопрос 3

Варианты ответов
- -5,8<2,4 -3,4<-3,8
- -5,8<2,4 -3,4>-3,8
- -5,8>2,4 -3,4>-3,8
- -5,8>2,4 -3,4<-3,8
Вопрос 4

Вопрос 5
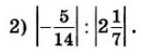
Вычислите:

Варианты ответов
-
\(\frac{2}{6}\)
-
\(\frac{1}{2}\)
-
\(\frac{1}{3}\)
-
\(\frac{1}{4}\)
-
\(\frac{1}{5}\)
-
\(\frac{1}{6}\)
Вопрос 6
Найдите значение x, если
-x=-16
Вопрос 7
Решите уравнения:
1.
\(\left|x\right|=2,8\)
2.
\(\left|x\right|=-1,6\)
Варианты ответов
- x=2,8
- x=-2,8
- x=1,8
- x=-1,8
- Решения нет!
- x=1,6
- x=-1,6
Вопрос 8

Вопрос 9

(Все цыфры записать слитно. Без запяты и пробела)
Вопрос 10

Варианты ответов
-
\(-\frac{3}{27}\ и\ -\frac{4}{27}\)
-
\(-\frac{8}{27}\ и\ -\frac{7}{27}\)
-
\(-\frac{9}{54}\ и\ -\frac{6}{54}\)
-
\(-\frac{8}{54}\ и\ -\frac{7}{54}\)
Получите комплекты видеоуроков + онлайн версии
Пройти тест
Сохранить у себя:
Тесты по математике 6 класс
0
592
Нравится
0






