Контрольная работа № 6
Иванова Юлия Андреевна
26.04.2020.
Тест. Алгебра, 7 класс
по теме: "Системы линейных уравнений с двумя переменными"
Система оценки:
5 балльная
Список вопросов теста
Вопрос 1
Решите систему уравнений

Варианты ответов
- x = 2 y = 3
- x = 3 y = 2
- x = 3 y = 1
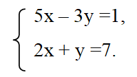
Вопрос 2
Решите систему уравнений

Варианты ответов
- x = -2 y = 3
- x = 3 y = -2
- x = -3 y = -2
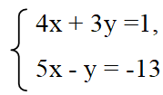
Вопрос 3
Решите систему уравнений

Варианты ответов
- x = 2 y = 0
- x = 2 y = -1
- x = -1 y = 2
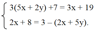
Вопрос 4
Решите систему уравнений

Варианты ответов
- x = 2,5 y = -3
- x = -3 y = 2,5
- x = -3,75 y = 2
Вопрос 5
За 5 карандашей и 3 тетради заплатили 92 рубля. А за 2 таких же карандаша и 1 тетрадь заплатили 33 рубля. Сколько стоит 1 такая тетрадь и 1 карандаш?
Варианты ответов
- 16 рублей карандаш и 4 рубля тетрадь
- 10 рублей карандаш и 13 рубля тетрадь
- 7 рублей карандаш и 19 рубля тетрадь
Вопрос 6
Если раздать детям по 3 конфеты, то 17 конфет останется, а чтобы раздать каждому по 10 конфет, не хватит 4 конфет. Сколько было детей?
Варианты ответов
- 7
- 3
- 5
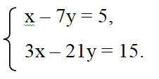
Вопрос 7
Сколько решений имеет система уравнений?

Варианты ответов
- нет решений
- множество решений (любые числа)
- x = 12 y = 1
- x = 5 y = 0
Получите комплекты видеоуроков + онлайн версии
Пройти тест
Сохранить у себя:
Тесты по алгебре 7 класс
0
386
Нравится
0


