Контрольная работа по теме "Решение систем неравенств"
Дресвянникова Светлана Аркадьевна
26.04.2020.
Тест. Алгебра, 8 класс
Контрольная работа по теме "Решение систем неравенств"
Система оценки:
5* балльная
Список вопросов теста
Вопрос 1
Решите систему неравенств:
Варианты ответов
- [2;4)
- (2;4)
- (2;4]
- [2;4]
- Нет решения
Вопрос 2
Решить систему неравенств 
Варианты ответов
- 1
- 2
- 3
- 4
- 5
Вопрос 3
Решить систему неравенств 
Варианты ответов
- 1
- 2
- 3
- 4
- 5
Вопрос 4
Решить двойное неравенство

Варианты ответов
- 1
- 2
- 3
- 4
- 5
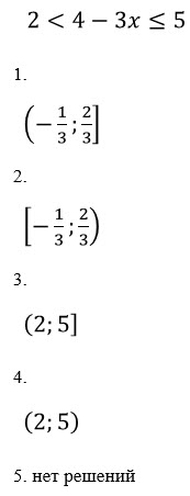
Вопрос 5
Решить двойное неравенство

Варианты ответов
- 1
- 2
- 3
- 4
- 5
Получите комплекты видеоуроков + онлайн версии
Пройти тест
Сохранить у себя:
Тесты по алгебре 8 класс
0
262
Нравится
0


