Количество путей в графе
Список вопросов теста
Вопрос 1
На рисунке — схема дорог, связывающих города А, Б, В, Г, Д, Е, Ж, З, И. По каждой дороге можно двигаться только в одном направлении, указанном стрелкой. Сколько существует различных путей из города А в город И, проходящих через город В?
Вопрос 2
На рисунке — схема дорог, связывающих города А, Б, В, Г, Д, Е, Ж, И, К. По каждой дороге можно двигаться только в одном направлении, указанном стрелкой. Сколько существует различных путей из города А в город К, проходящих через город Д?
Вопрос 3
На рисунке — схема дорог, связывающих города А, Б, В, Г, Д, Е, Ж, З, И. По каждой дороге можно двигаться только в одном направлении, указанном стрелкой. Сколько существует различных путей из города А в город И, проходящих через город Ж?
Вопрос 4
На рисунке — схема дорог, связывающих города А, Б, В, Г, Д, Е, Ж, И, К, Л. По каждой дороге можно двигаться только в одном направлении, указанном стрелкой. Сколько существует различных путей из пункта А в пункт Л, проходящих через пункт Е?
Вопрос 5
На рисунке — схема дорог, связывающих города А, Б, В, Г, Д, Е, Ж, К, Л, М, Н, П. По каждой дороге можно двигаться только в одном направлении, указанном стрелкой.
Сколько существует различных путей из города А в город П, проходящих через город Л?
Вопрос 6
На рисунке — схема дорог, связывающих города А, Б, В, Г, Д, Е, Ж, К, Л, М, Н, П. По каждой дороге можно двигаться только в одном направлении, указанном стрелкой.
Сколько существует различных путей из города А в город П, проходящих через город Л?
Вопрос 7
На рисунке — схема дорог, связывающих города А, Б, В, Г, Д, Е, Ж, К, Л, М, Н, П. По каждой дороге можно двигаться только в одном направлении, указанном стрелкой.
Сколько существует различных путей из города А в город П, проходящих через город М?
Вопрос 8
На рисунке представлена схема дорог, связывающих города А, Б, В, Г, Д, Е, Ж, 3, И, К, Л, М. По каждой дороге можно двигаться только в одном направлении, указанном стрелкой.Сколько существует различных путей из города А в город М, проходящих через город Ж, но не проходящих через город К?
Вопрос 9
На рисунке — схема дорог, связывающих города А, Б, В, Г, Д, Е, Ж, К и Л. По каждой дороге можно двигаться только в одном направлении, указанном стрелкой. Сколько существует различных путей из города А в город Л?
Вопрос 10
На рисунке — схема дорог, связывающих города А, Б, В, Г, Д, Е, Ж, З, И, К и Л. По каждой дороге можно двигаться только в одном направлении, указанном стрелкой. Сколько существует различных путей из города А в город Л, проходящих через город B?
Вопрос 11
На рисунке — схема дорог, связывающих города А, B, C, D, E, G, H, F. По каждой дороге можно двигаться только в одном направлении, указанном стрелкой. Сколько существует различных путей из города A в город D?
Вопрос 12
На рисунке — схема дорог, связывающих города А, Б, В, Г, Д, Е, Ж и К. По каждой дороге можно двигаться только в одном направлении, указанном стрелкой. Сколько существует различных путей из города А в город К, проходящих через город В?
Вопрос 13
На рисунке – схема дорог, связывающих города A, B, C, D, E, F, G и H. По каждой дороге можно двигаться только в одном направлении, указанном стрелкой. Сколько существует различных путей из города A в город H, проходящих через город F?

Вопрос 14
На рисунке – схема дорог, связывающих города A, B, C, D, E, F, G и H. По каждой дороге можно двигаться только в одном направлении, указанном стрелкой. Сколько существует различных путей из города A в город H?

Вопрос 15
На рисунке – схема дорог, связывающих города A, B, C, D, E, F, G и H. По каждой дороге можно двигаться только в одном направлении, указанном стрелкой. Сколько существует различных путей из города A в город H, проходящих через город B?

Вопрос 16
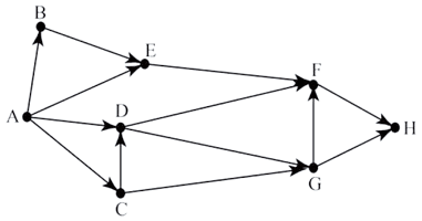
На рисунке – схема дорог, связывающих города A, B, C, D, E, F, G и H. По каждой дороге можно двигаться только в одном направлении, указанном стрелкой. Сколько существует различных путей из города A в город H, проходящих через город D?

Вопрос 17
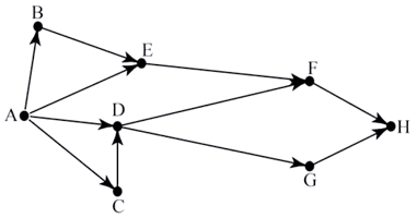
На рисунке – схема дорог, связывающих города A, B, C, D, E и F. По каждой дороге можно двигаться только в одном направлении, указанном стрелкой. Сколько существует различных путей из города A в город F, проходящих через город D?

Вопрос 18
На рисунке – схема дорог, связывающих города A, B, C, D, E и F. По каждой дороге можно двигаться только в одном направлении, указанном стрелкой. Сколько существует различных путей из города A в город F, не проходящих через город Е?

Вопрос 19
На рисунке – схема дорог, связывающих города А, Б, В, Г, Д, Е, Ж, З, И и К. По каждой дороге можно двигаться только в одном направлении, указанном стрелкой. Сколько существует различных путей из города А в город К, не проходящих через город Д?

Вопрос 20
На рисунке – схема дорог, связывающих города А, Б, В, Г, Д, Е, Ж, З, И и К. По каждой дороге можно двигаться только в одном направлении, указанном стрелкой. Сколько существует различных путей из города А в город К, не проходящих через город Д?



