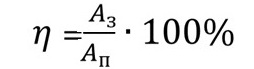
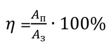
Коэффициент полезного действия механизма
Список вопросов теста
Вопрос 1
Какую работу называют полезной?
Варианты ответов
- Работа по подъему грузов или преодолению какого-либо сопротивления
- Работа по подъему грузов
- Работа, совершенная приложенной силой
- Работа по преодолению сил сопротивления
Вопрос 2
Какую работу называют полной?
Варианты ответов
- Работу по подъему грузов или преодолению какого-либо сопротивления
- Работу по подъему грузов
- Работу , совершенную приложенной силой
- Работу по преодолению сил сопротивления
Вопрос 3
Установите соответствие
1.

2.

3.

4.

5.

Варианты ответов
- Вес
- Затраченная работа
- Полезная работа
- КПД
Вопрос 4
Укажите для каждого выражение верно оно лил нет
1) 
2) 
3) 
4) 
Варианты ответов
- № 1 формула верна?
- № 2 неравенство верно?
- № 3 формула верна?
- № 4 отношение верно?
Вопрос 5
Рассчитайте КПД рычага, если с помощью него был поднят груз массой 75 килограмм на 2 м. При этом сила, приложенная к длинному концу рычага, совершила работу 2 000 Дж.
Варианты ответов
- 75 Дж
- 75%
- 133%
- 1,3
Вопрос 6
Для родъема тела массой 30 кг на высоту 2 м, использовали наклонную плоскость длиной 5 м, приложив при этом силу 200 Н. Определите КПД наклонной плоскости
Варианты ответов
- 50%
- 60%
- 167%
- 150%


