Коэффициент
Список вопросов теста
Вопрос 1
Укажите коэффициент выражения: 5xyz.
Варианты ответов
- x
- у
- z
- 5
- в выражении нет коэффициента
Вопрос 2
Укажите коэффициент выражения: -abc.
Варианты ответов
- -1
- -a
- b
- c
- в выражении нет коэффициента
Вопрос 3
Укажите коэффициент выражения: х. В ответ запишите только число. Например: 7
Вопрос 4
Если выражение является произведением числа и одной или нескольких букв, то это число называют ...
Варианты ответов
- подобным слагаемым
- коэффициентом
- множителем
- буквенным множителем
- положительным числом
Вопрос 5
Коэффициентом выражения -1524df , является ...
Варианты ответов
- d
- f
- 1524
- -1524
- -d
Вопрос 6
Укажите коэффициент в выражении -21,98xyz.
Варианты ответов
- -z
- y
- 21,98
- x
- -21,98
Вопрос 7
Упростите выражение 2x · 5y. Запишите коэффициент полученного выражения. В ответ запишите только число. Например: 7
Вопрос 8
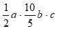
Упростите выражение
Выберите коэффициент полученного выражения.
Варианты ответов
-
-
a
-
-
b
-
1
Вопрос 9
Упростите выражение: 15a · 5b · 3c. Запишите коэффициент полученного выражения. В ответ запишите только число. Например: 7
Вопрос 10
Упростите выражение 0,5x · (-8y) · (-c). Укажите коэффициент полученного выражения. В ответ запишите только число. Например: 7


