Кинематика 9 класс
Список вопросов теста
Вопрос 1
Тело (или группа тел), принимаемое в данном случае за неподвижное, относительно которого рассматривается движение других тел, называется
Варианты ответов
-
телом подсчета
-
телом отсчета
-
системой координат
-
началом отсчета
Вопрос 2
Какую систему координат следует выбрать при определении положения самолета в небе?
Варианты ответов
-
Среди ответов нет правильного
-
Трехмерную (х, y, z)
-
Двухмерную (х, y)
-
Одномерную (х)
Вопрос 3
Вставьте пропущенные слова:
Любое тело в каждый момент времени обладает некоторой геометрической 1)..., определённым образом ориентировано в 2)... и занимает в нём некоторое 3)...
1.
формой
2.
пространстве
3.
положение
Варианты ответов
-
формой
-
пространстве
-
положение
Вопрос 4
Тело, у которого расстояние между любыми его точками не меняется.
Варианты ответов
-
АБСОЛЮТНО ТВЁРДОЕ ТЕЛО
-
ТВЁРДОЕ ТЕЛО
-
ТЕЛО
Вопрос 5
Что образует систему отсчета?
Укажите истинность или ложность вариантов ответа:
Варианты ответов
-
Тело отсчета
-
Часы и система координат
-
Тело отсчета, система координат, часы
-
Система координат
Вопрос 6
Выбирите пропущенное (-ые) слово (-а):
Основная задача кинематики состоит в нахождение положения тела в любой момент времени, если известны его положение, ... в начальный момент времени.
Варианты ответов
-
скорость и ускорение
-
скорость
-
ускорение
Вопрос 7
Какую систему координат необходимо выбрать, для определения положения шашки на шахматной доске?
Выберите один из 4 вариантов ответа:
Варианты ответов
-
Одномерную (х)
-
Трехмерную (х, y, z)
-
Среди ответов нет правильного
-
Двухмерную (х, у)
Вопрос 8
Какое (-ие) утверждение (-я) верно (-ы)?
а) материальная точка обладает размерами;
б) материальная точка обладает массой.
Варианты ответов
-
Ни а, ни б
-
Только а
-
И а, и б
-
Только б
Вопрос 9
Тело можно принять за МТ, если:
Варианты ответов
-
размеры тела много меньше расстояния, которое оно проходит
-
среди ответов нет правильного
-
тело движется поступательно
-
размеры тела много меньше расстояния до тела отсчёта
Вопрос 10
Что не относится к видам механического движения?
Выберите несколько из 4 вариантов ответа:
Варианты ответов
-
зигзагообразное движение
-
поступательное движение
-
вращательное движение
-
деформация
Вопрос 11
В некоторой инерциальной системе отсчёта точка N имеет координаты (3;4). Найдите длину радиус-вектора, описывающего положение точки N.
Варианты ответов
-
3
-
5
-
7
-
4
Вопрос 12
Выберете верные утверждения
Укажите истинность или ложность вариантов ответа:
Варианты ответов
-
Радиус-вектор соединяет начало координат и данную точку пространства
-
Радиус-вектором можно пользоваться только в системе координат на плоскости
-
Значение радиус-вектора не может быть отрицательным
-
Длина радиус-вектора зависит от выбора начала координат
Вопрос 13
Выберете верные утверждения
Укажите истинность или ложность вариантов ответа:
Варианты ответов
-
Перемещение - это векторная величина
-
Пройденный путь - это векторная величина
-
Пройденный путь - это радиус-вектор
-
Перемещение - это радиус-вектор
Вопрос 14
Тело переместилось из точки M (4;3) в точку N (7;7). Найдите модуль перемещения данного тела.
Вопрос 15
Ракета поднялась на высоту 18 км и вернулась обратно. Чему равен модуль перемещения ракеты?
Варианты ответов
-
18
-
36
-
0
-
Для ответа не хватает данных
Вопрос 16
Турист прошел по полю строго на восток 3 км, а затем повернул на юг и прошел еще 4 км. Определите модуль перемещения туриста.
Варианты ответов
-
7
-
3
-
5
-
4
Вопрос 17
Легкоатлет пробежал по стадиону 8 кругов, радиусом 50 м. Определите путь и перемещение легкоатлета.
Вопрос 18
Модуль вектора а равен 10, а сам вектор перпендикулярен оси у. Тогда...
Варианты ответов
-
Проекция вектора а на ось у равна 0.
-
Проекция вектора а на ось у равна 10.
-
Вектор а находится в трехмерной системе координат.
-
Проекция вектора а на ось х равна 0.
Вопрос 19
Определите сумму и разность взаимно перпендикулярных векторов, представленных на рисунке. Найдите модули векторов суммы а и b и разности векторов а и b.
Вопрос 20
Кто из учёных первым показал, что движение относительно
Составьте слово из букв:
ГЛИЕЕАЛГАИЙОЛЛ
Вопрос 21
В некоторой инерциальной системе отсчёта точка N имеет координаты (9; 16). Найдите длину радиус-вектора, описывающего положение точки N.
Варианты ответов
-
25
-
23
-
24
-
27
Вопрос 22
Модуль вектора а равен 10, а сам вектор перпендикулярен оси у. Тогда...
Выберите несколько из 5 вариантов ответа:
Варианты ответов
-
Проекция вектора а на ось х равна 10
-
Проекция вектора а на ось х равна 0.
-
Вектор а находится в трехмерной системе координат.
-
Проекция вектора а на ось у равна 10.
-
Проекция вектора а на ось у равна 0.
Вопрос 23
Тело переместилось из точки M (4; 3) в точку N (7; 7). Найдите модуль перемещения данного тела.
Вопрос 24
Сопоставьте векторные и скалярные величины
Укажите соответствие для всех 4 вариантов ответа:
1.
скаляр
2.
вектор
Варианты ответов
-
пройденный путь
-
координата тела
-
перемещение
-
проекция перемещения
Вопрос 25
При прямолинейном движении тела проекция вектора перемещения на ось считается положительной, если
Варианты ответов
-
направление вектора перемещения противоположно направлению оси
-
направление вектора перемещения совпадает с направлением оси
-
направление вектора перемещения перпендикулярно направлению оси
-
длина вектора равна нулю
Вопрос 26
Мотоцикл переместился из точки с координатой х0 = 300 м в точку с координатой х1 = -300 м. Определите проекцию перемещения автобуса.
Запишите число:
Вопрос 27
При прямолинейном движении тела проекция вектора перемещения на ось считается отрицательной, если
Выберите один из 4 вариантов ответа:
Варианты ответов
-
направление вектора перемещения перпендикулярно направлению оси
-
направление вектора перемещения противоположно направлению оси
-
длина вектора равна нулю
-
направление вектора перемещения совпадает с направлением оси
Вопрос 28
Определите конечную координату велосипедиста, если он выехал из точки х0 = 50 м, а проекция перемещения на ось ОХ равна sx = 300 м.
Запишите число:
Вопрос 29
Определите начальную координату трамвая, если проекция его перемещения на ось ОХ равна sx = -250 м, а конечная координата х = 500 м.
Выберите один из 4 вариантов ответа:
Варианты ответов
-
750
-
250
-
500
-
-250
Вопрос 30
Определите начальную координату трамвая, если проекция его перемещения на ось ОХ равна sx = 250 м, а конечная координата х1 = -550 м.
Запишите число:
Вопрос 31
Сопоставьте понятия с определениями:
1.
Отношение перемещения к промежутку времени, за который это изменение произошло
2.
Отношение пройденного пути к промежутку времени, за который этот путь был пройден
3.
Отношение перемещения к промежутку времени, за который это изменение произошло, при условии, что этот промежуток времени бесконечно мал
Варианты ответов
-
Средняя путевая скорость
-
Средняя скорость
-
Мгновенная скорость
Вопрос 32
Лодка переплывает реку так, что направление её движения составляет угол 35о с направлением течения реки. Если собственная скорость лодки равна 3 м/с, а скорость реки 1 м/с, то с какой скоростью лодку сносит вниз по течению?
Варианты ответов
-
3,4-3,5
-
3,5-3,6
-
3,3-3,4
Вопрос 33
Какое из перечисленных тел движется равномерно и прямолинейно?
Варианты ответов
-
Человек на движущемся на эскалаторе.
-
Ребёнок, качающийся на качелях.
-
Болид формулы 1.
-
Взлетающая ракета.
Вопрос 34
Какие физические величины равны при равномерном прямолинейном движении?
Укажите истинность или ложность вариантов ответа:
Варианты ответов
-
Пройденный путь и модуль вектора перемещения.
-
Путь и время движения.
-
Скорость и путь.
-
Скорость и время движения.
Вопрос 35
Тело движется вдоль оси Ох. Проекция его скорости меняется по закону, приведенному на графику.
Проекция перемещения тела за 3 с равна ...
Вопрос 36
С помощью графика равномерного движения можно определить:
(выберите правильные утверждения)
Укажите истинность или ложность вариантов ответа:
Варианты ответов
-
координаты тела в любой момент времени.
-
кратчайшее расстояние м/у телами в любой момент времени.
-
момент и место встречи.
-
путь, пройденный телом за некоторый промежуток времени.
Вопрос 37
Тело, двигаясь равномерно, переместилось из точки M (2;4) в точку N (3;8) за 5 секунд. Найдите модуль скорости данного тела.
Запишите число:
Варианты ответов
-
0,8-0,85
-
0,7-0,8
-
0,85-0,9
-
0,9-0,95
Вопрос 38
Поезд длиной 240 м, двигаясь равномерно, прошел мост за 2 мин. Определите скорость поезда, если длина моста 360 м.
Запишите число в м/с
Вопрос 39
Двигаясь равномерно прямолинейно, тело за 10 с прошло 200 см. За сколько часов это тело, двигаясь с той же скоростью и в том же направлении, пройдет путь 36 км?
Выберите один из 4 вариантов ответа:
Варианты ответов
-
50 ч
-
100 ч
-
67 ч
-
45 ч
Вопрос 40
Пловец, двигаясь относительно воды перпендикулярно течению со скоростью 5 км/ч, переплывает реку шириной 120 м. Скорость течения 3,24 км/ч. Определите:
а) скорость пловца относительно берега (округлите до сотых, пользуясь правилами округления);
б) время, которое требуется пловцу, чтобы переплыть реку (округлите до целых, пользуясь правилами округления);
в) перемещение пловца относительно берега (округлите до целых, пользуясь правилами округления);
г) под каким углом к берегу плывет пловец? (округлите до целых, пользуясь правилами округления).
Запишите число:
Перемещение, м
Скорость пловца, м/с
Время, с
Угол, градусы
Вопрос 41
Сопоставьте понятия и определения.
Укажите соответствие для всех 4 вариантов ответа:
1.
движение, при котором тело за любые равные промежутки времени совершает одинаковые перемещения.
2.
физическая величина, характеризующая быстроту изменения положения тела с течением времени при неравномерном движении.
3.
движение, при котором за любые равные промежутки времени скорость тела изменяется на одну и ту же величину, а траекторией движения тела является прямая линия.
4.
физическая векторная величина, характеризующая быстроту изменения скорости тела
Варианты ответов
-
РПД
-
РУД
-
Ускорение
-
Мгновенная скорость
Вопрос 42
Во время подъёма в гору скорость велосипедиста, двигающегося прямолинейно и равноускорено, изменилась за 10 с от 7 м/с до 10,8 км/ч. При этом модуль ускорения велосипедиста был равен ...
Выберите один из 4 вариантов ответа:
Варианты ответов
-
0,25 м/с2
-
0,4 м/с2
-
-0,5 м/с2
-
-0,25 м/с2
Вопрос 43
Вопрос:
Какое (-ие) утверждение (-я) является (-ются) верным (-и)?
А) если направление вектора ускорения совпадает с направлением начальной скорости тела, то скорость тела увеличивается;
Б) если направление вектора ускорения противоположно направлению начальной скорости тела, то скорость тела уменьшается
Варианты ответов
-
только Б
-
только А
-
ни А, ни Б
-
и А, и Б
Вопрос 44
Направление вектора ускорения ... с направлением вектора изменения скорости тела. (вставьте пропущенное слово)
Варианты ответов
-
совпадает
-
не совпадает
Вопрос 45
Площадь под графиком зависимости ускорения от времени при равноускоренном движении является...
Укажите истинность или ложность вариантов ответа:
Варианты ответов
-
Треугольником
-
Трапецией
-
Либо треугольником, либо прямоугольником
-
Прямоугольником
Вопрос 46
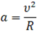
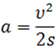
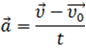
Какая из приведенных ниже формул соответствует определению ускорения?
Выберите один из 4 вариантов ответа:
Варианты ответов
-

-

-

-
Среди ответов нет правильного
Вопрос 47
Автомобиль начинает движение из состояния покоя. Через 50 с он достигает скорости 72 км/ч. С каким ускорением происходит движение?
Запишите число: а, м/с2
Вопрос 48
Велосипедист съезжает с горки, двигаясь прямолинейно и равноускорено. За время спуска его скорость увеличилась на 13 м/с. Ускорение велосипедиста 0,25 м/с2. Сколько времени длится спуск?
Запишите число: t, c
Вопрос 49
График зависимости скорости тела от времени при равноускоренном движении будет являться...
Выберите один из 4 вариантов ответа:
Варианты ответов
-
Горизонтальной прямой линией
-
Кубической параболой
-
Параболой
-
Прямой линией, наклоненной под некоторым углом к оси времени
Вопрос 50
Определите среднюю скорость движения катера на участке прямолинейного пути, если первую его половину он прошёл со скоростью 12 м/с, а вторую - со скоростью 18 м/с.
Запишите число: v, м/с
Вопрос 51
Если вектор скорости сонаправлен с вектором ускорения, то
Выберите один из 4 вариантов ответа:
Варианты ответов
-
тело движется равноускорено
-
тело движется равнозамедлено
-
тело покоится
-
тело движется равномерно
Вопрос 52
На рисунке приведены графики зависимости от времени проекции скорости двух тел. Найдите ускорения обоих тел. (ответ дать с точностью до десятых)
Вопрос 53
График зависимости какой величины от времени представлен на рисунке?
Варианты ответов
-
скорость
-
ускорение
Вопрос 54
Шарик движется вверх по наклонной плоскости. Укажите справедливость утверждений
Укажите истинность или ложность вариантов ответа:
Варианты ответов
-
направление вектора скорости совпадает с направлением вектора ускорений
-
вектор скорости направлен противоположно направлению вектора ускорения
-
ускорение направлено против движения шарика
-
шарик движется равномерно
-
ускорение направлено по ходу движения шарика
Вопрос 55
Зависимость проекции скорости от времени при РУД есть ... функция
Составьте слово из букв: АЙИЯННЛЕ
Вопрос 56
Проекция скорости шарика, брошенного вертикально вверх, изменяется со временем по закону vx = A + Bt, где A = 15 м/с, а В = −10 м/с2. Через какое время шарик поднимется на максимальную высоту?
Запишите число: t, c
Вопрос 57
По какой формуле можно рассчитать проекцию скорости тела при РУД
Выберите один из 4 вариантов ответа:
Варианты ответов
-
v = v0 + at
-
vx = v0x + axt
-
среди представленных ответов нет правильного
-
v = (a - a0)/t
Вопрос 58
Что представляет собой график ускорения для РУД?
Выберите несколько из 4 вариантов ответа:
Варианты ответов
-
ветвь параболы
-
прямая, перпендикулярная оси времени
-
прямая, параллельная оси времени
-
прямая, перпендикулярная оси ускорения
Вопрос 59
На каком из графиков изображена зависимость проекции скорости материальной точки от времени при равноускоренном движении тела при υ0x ≠ 0?
Варианты ответов
Вопрос 60
Двигаясь с ускорением 5 м/с2 скорость космической ракеты увеличилась на 100 м/с. За какое время произошло такое изменение скорости?
Выберите несколько из 4 вариантов ответа:
Варианты ответов
-
20 с
-
1/3 ч
-
1/6 ч
-
25 с
Вопрос 61
По графику зависимости модуля скорости тела от времени, представленному на рисунке, определите перемещение тела за 5 с, после начала движения.
Варианты ответов
-
50 м
-
100 м
-
200 м
-
125 м
Вопрос 62
Пуля, летящая со скоростью 700 м/с, пробивает деревянную стенку за 0, 001 с и после этого ее скорость оказывается равной 150 м/с. Считая движение пули в стене равноускоренным, найдите ее толщину. (Ответ округлить до десятых)
Запишите число: h, см
Вопрос 63
Вагонетка движется из состояния покоя с ускорением 0,3 м/с2. На каком расстоянии вагонетка окажется через 30 с?
Выберите один из 4 вариантов ответа:
Варианты ответов
-
135 м
-
270 м
-
225 м
-
90 м
Вопрос 64
Тело соскальзывает по наклонной плоскости, проходя за 20 с путь 3 м. Чему равен модуль ускорения тела, если его начальная скорость равна нулю?
Выберите один из 4 вариантов ответа:
Варианты ответов
-
0,015 м/с2
-
0,15 м/с2
-
1,5 м/с2
-
15 м/с2
Вопрос 65
Покоящееся тело начинает движение с постоянным ускорением. В третью секунду оно проходит путь 10 м. Какой путь тело пройдет за 8 с?
Запишите число: s, м
Вопрос 66
Укажите формулу, по которой можно рассчитать путь, пройденный телом при РУД.
Выберите несколько из 4 вариантов ответа:
Варианты ответов
-
s = v0t + (at2)/2
-
s = s0 + v0t + (at2)/2
-
v2 + v02 = 2as
-
s = vt
Вопрос 67
Подъезжая к уклону, велосипедист имел скорость 3 м/с. Определите длину спуска, если движение по нему происходило с ускорением 0,4 м/с2 в течении 5 с.
Выберите один из 4 вариантов ответа:
Варианты ответов
-
20 м
-
72 м
-
30 м
-
25 м
Вопрос 68
Автобус движется со скоростью 72 км/ч. На каком расстоянии от остановки водитель должен начать тормозить, если для удобства пассажиров ускорение не должно превышать 1,25 м/с2?
Выберите один из 4 вариантов ответа:
Варианты ответов
-
240 м
-
80 м
-
16 м
-
160 м
Вопрос 69
При прямолинейном равноускоренном движении с начальной скоростью, равной нулю, путь, пройденный телом за 4 секунды от начала движения, больше пути, пройденного за первую секунду, в
Выберите один из 4 вариантов ответа:
Варианты ответов
-
9 раз
-
16 раз
-
4 раза
-
25 раз
Вопрос 70
Движение тела описывается уравнением x(t) = 4,5 - 0,5t2. Через сколько секунд тело окажется в начале координат?
Запишите число: t, с
Вопрос 71
Укажите формулы, характеризующие РУД
Укажите истинность или ложность вариантов ответа:
Варианты ответов
-
ах = const
-
sx = v0xt
-
x = x0 + v0xt + (axt2)/2
-
ах = 0
Вопрос 72
По какой формуле определяется перемещение тела при РУД без начальной скорости?
Выберите один из 4 вариантов ответа:
Варианты ответов
-
s = v0t + (at2)/2
-
s = v0t + (at2)/2
-
sx = v0xt + (axt2)/2
-
s = v0t - (at2)/2
Вопрос 73
В течение восьми равных промежутков времени от начала движения тело, двигаясь равноускорено, переместилось на 160 м. Какой путь прошло это тело в течение двух первых таких же промежутков времени?
Запишите число: s, м
Вопрос 74
Дано уравнение проекции перемещения для некоторого тела. По этому уравнению определите проекции начальной скорости и ускорения тела:
sx = 10t2, x0 = -40.
Запишите число:
Начальная скорость
Ускорение
Вопрос 75
При прямолинейном равноускоренном движении с начальной скоростью, равной нулю, путь, пройденный телом за 4 секунды от начала движения, больше пути, пройденного за первую секунду, в
Укажите истинность или ложность вариантов ответа:
Варианты ответов
-
16 раз
-
25 раз
-
4 раза
-
9 раз
Вопрос 76
Вагонетка движется из состояния покоя с ускорением 0,3 м/с2. На каком расстоянии вагонетка окажется через 30 с?
Выберите один из 4 вариантов ответа:
Варианты ответов
-
90 м
-
135 м
-
270 м
-
225 м
Вопрос 77
Покоящееся тело начинает движение с постоянным ускорением. В третью секунду оно проходит путь 10 м. Какой путь тело пройдет за 8 с?
Выберите один из 4 вариантов ответа:
Варианты ответов
-
140,8 м
-
70,4 м
-
256 м
-
128 м
Вопрос 78
Тело соскальзывает по наклонной плоскости, проходя за 20 с путь 3 м. Чему равен модуль ускорения тела, если его начальная скорость равна нулю?
Выберите один из 4 вариантов ответа:
Варианты ответов
-
0,15 м/с2
-
1,5 м/с2
-
15 м/с2
-
0,015 м/с2
Вопрос 79
Поезд отошёл от станции и в течение 20 с двигался равноускорено. Если за десятую секунду от прошёл путь 5 м, то за всё время движения пройденный им путь равен
Выберите один из 5 вариантов ответа:
Варианты ответов
-
110 м
-
105 м
-
123 м
-
73 м
-
50 м
Вопрос 80
Тело, двигаясь равноускорено из состояния покоя, прошло некоторое расстояние. Чему равно отношение средней скорости тела на второй половине пути к средней скорости на первой половине пути? (ответ дать с точностью до десятых)
Запишите число:
Вопрос 81
Если тело одновременно участвует в нескольких движениях, то результирующее перемещение точки равно
Укажите истинность или ложность вариантов ответа:
Варианты ответов
-
сумме перемещений, совершаемых ею в каждом из движений.
-
среди ответов нет правильного.
-
векторной сумме перемещений, совершаемых ею в каждом из движений.
-
произведению модуля мгновенной скорости и промежутка времени.
Вопрос 82
Два автомобиля движутся по прямой дороге в одном направлении: один со скоростью 70 км/ч, а другой со скоростью 98 км/ч. Сближаются они или удаляются?
Выберите один из 4 вариантов ответа:
Варианты ответов
-
Удаляются
-
Сближаются
-
Находятся на одинаковом расстоянии
-
Могут сближаться, могут удаляться
Вопрос 83
Вставьте пропущенные слова:
Скорость тела относительно 1)... равна векторной сумме его скорости относительно 2)... системы отсчёта и 3)... системы отсчёта относительно 4)....
Варианты ответов
-
неподвижной системы отсчёта
-
подвижной
-
скорости подвижной
-
неподвижной системы отсчёта
Вопрос 84
По дорогам, пересекающимся под прямым углом, едут велосипедист и мотоциклист. Скорости велосипедиста и мотоциклиста относительно придорожных столбов соответственно равны 8 м/с и 54 км/ч. Определите модуль скорости мотоциклиста относительно велосипедиста.
Запишите число: V, м/с
Вопрос 85
Плот спускается равномерно и прямолинейно по реке. Скорость плота относительно берега составляет 0,3 км/ч. Человек идет по плоту со скоростью 0,4 км/ч в направлении, перпендикулярном направлению движения плота. Какова скорость человека относительно берега реки?
Выберите один из 4 вариантов ответа:
Варианты ответов
-
\(\sqrt{0,7}\) км/ч
-
0,5 км/ч
-
0,1 км/ч
-
0,7 км/ч
Вопрос 86
По двум параллельным железнодорожным путям равномерно движутся два поезда навстречу друг другу: грузовой - со скоростью 52 км/ч и пассажирский - со скоростью 128 км/ч. Определите величину относительной скорости поездов.
Выберите один из 4 вариантов ответа:
Варианты ответов
-
42,2 м/с
-
76 км/ч
-
21,1 м/с
-
50 м/с
Вопрос 87
Пловец переплывает реку по кратчайшему пути. Скорость пловца относительно воды 5 км/ч, скорость течения 3 км/ч. Чему равна скорость пловца относительно берега?
Выберите один из 4 вариантов ответа:
Варианты ответов
-
6,3 км/ч
-
2 км/ч
-
8 км/ч
-
4 км/ч
Вопрос 88
Относительность движения проявляется в том, что
Выберите несколько из 4 вариантов ответа:
Варианты ответов
-
скорость, траектория, путь, перемещение и некоторые другие характеристики движения одинаковы в разных системах отсчёта.
-
скорость, траектория, путь, перемещение и некоторые другие характеристики движения не зависят от выбора системы отсчёта
-
скорость, траектория, путь, перемещение и некоторые другие характеристики движения зависят от выбора системы отсчёта
-
скорость, траектория, путь, перемещение и некоторые другие характеристики движения различны в разных системах отсчёта.
Вопрос 89
Моторная лодка движется по течению реки со скоростью 18 м/с относительно берега, а в стоячей воде - со скоростью 12 м/с. Чему равна скорость течения реки?
Запишите число: v, м/с
Вопрос 90
Фамилия учёного, открывшим закон сложения скоростей
Составьте слово из букв: ГЛИЕЛАЙ









