Итоговый тест за сентябрь
Список вопросов теста
Вопрос 1
Оператор организации ввода данных с клавиатуры на языке Паскаль записывается с использованием служебного слова...
Варианты ответов
- read
- write
- begin
- var
Вопрос 2
Оператор организации вывода данных на экран на языке Паскаль записывается с использованием служебного слова...
Варианты ответов
- read
- write
- begin
- var
Вопрос 3
Что означает окончание LN , добавленное к оператору вывода write
Варианты ответов
- каждое значение выводится в отдельной строке
- по окончании работы оператора курсор переместится на следующую строку
- каждый символ выводится в отдельной строке
- выводится только первое из указанных значений
Вопрос 4
Как называется оператор :=
Варианты ответов
- оператор ввода
- оператор вывода
- оператор присваивания
- условный оператор
Вопрос 5
Установите соотвествие между служебными словами языка Паскаль и их назначением
1.
var
2.
type
3.
program
4.
begin
5.
end.
Варианты ответов
- раздел описания переменных
- раздел описания типов
- заголовок программы, начало программы
- начало программного блока
- конец программного блока
Вопрос 6
Установите соотвествие между операторами языка Паскаль и результатами их выполнения, если значение переменной равно 5
1.
5
2.
a
3.
a=5
4.
_ _5.0
Варианты ответов
- write(a);
- write('a');
- write('a=',a);
- write(a:5:1);
Вопрос 7
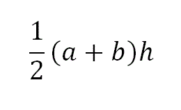
Выберите выражение записанное на языке Паскаль, соответсвующее математической записи
Варианты ответов
- 1/2(a+b)h
- 1/2/(a+b)/h
- 1/2*(a+b)/h
- (a+b)*h/2
- (a+b)*2/h
Вопрос 8
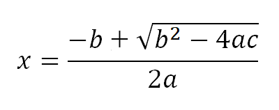
Какие выражения записанные на языке Паскаль не соответсвую
т математической записи
Варианты ответов
- (-b+sqrt(b*b-4*a*c))/(2*a)
- (-b+sqrt(b*b-4*a*c))/2*a
- (-b+sqrt(b*b-4*a*c))/2/a
- -b+sqrt(b*b-4*a*c)/(2*a)
- (sqrt(b*b-4*a*c)-b)/(2*a)
Вопрос 9
Чему будет равно значение переменной b после выполнения фрагмента программы:
a:=10;
b:=20;
b:=a+b;
a:=b-a;
b:=b+a;
Вопрос 10
Чему будет равно значение переменной a после выполнения фрагмента программы:
a:=57;
b:=5;
b:=a div b;
a:=a mod b;
Вопрос 11
Установите соотвествие между операторами языка Паскаль и их назначением
1.
оператор case
2.
оператор if
3.
оператор goto
Варианты ответов
- оператор множественного выбора
- оператор условного перехода
- оператор безусловного перехода
Вопрос 12
Установите соотвествие между операторами языка Паскаль и их назначением
1.
оператор while
2.
оператор repeat
3.
оператор for
Варианты ответов
- оператор цикла с предварительной проверкой условия (с предусловием)
- оператор цикла с последующей проверкой условия (с постусловием)
- оператор цикла с параметром
Вопрос 13
Установите соотвествие между логическими операторами языка Паскаль и их назначением
1.
and
2.
or
3.
not
Варианты ответов
- результат операции истина тогда и только тогда, когда истинны оба операнда
- результат операции истина тогда, когда истинен хотя бы один операнд
- результат операции равен противоположному значению исходного операнда
Вопрос 14
Для каждого значения выберите тип
1.
25
2.
23.34
3.
#
4.
true
Варианты ответов
- integer
- real
- char
- boolean
Вопрос 15
Выберите правильную запись на языке Паскаль выражения "A не равно 3"
Варианты ответов
- A!=3
- A==3
- A=3
- A<>3
-
A\(\ne\)3
Вопрос 16
Выберите правильную запись математического условия 1\(\le\)a<100 на языке Паскаль
Варианты ответов
-
if (a\(\ge\)1) and (a<100) then ....
-
if (a\(\ge\)1) or (a<100) then ....
-
if (a<=1) and (a<100) then ....
-
if (a>=1) and (a<100) then ....
Вопрос 17
Какое значение будет иметь переменная d после выполнения операторов?
а := 3;
b:= 2;
If a > b Then d := a Else d := b;
Вопрос 18
Какое значение будет иметь переменная d после выполнения операторов?
а := 2;
b:= 5;
If a > b Then d := a Else d := b;
d:=d-a;
Вопрос 19
Какое значение будет иметь переменная d после выполнения операторов?
a := 5;
b := 2;
d := 4;
If a > b Then Else begin d := b; d := d + a end;
Вопрос 20
Что появится на экране после выполнения оператора
write(5+4);
Варианты ответов
- 5+4
- 9
- программа выдаст ошибку
- 0
Вопрос 21
Что появится на экране после выполнения оператора
write('7+2');
Варианты ответов
- 7+2
- 9
- программа выдаст ошибку
- 0
Вопрос 22
Какой цикл изображен на блок-схеме

Варианты ответов
- while
- repeat
- for
- if
Вопрос 23
Какой оператор языка Паскаль предназначен для реализации цикла с заданным числом повторений?
Варианты ответов
- while
- repeat
- for
- if
Вопрос 24
Какой цикл изображен на блок-схеме

Варианты ответов
- while
- repeat
- for
- if
Вопрос 25
Какой цикл изображен на блок-схеме

Варианты ответов
- while
- repeat
- for
- if
Вопрос 26
Определить значение переменной y после выполнения следующих фрагментов программы:
Var y: real; k: integer;
. . .
y:=0;
For k:=2 to 6 do y:=y+k;
Вопрос 27
Определить значение переменной y после выполнения следующих фрагментов программы:
Var y: real; x: integer;
. . .
y:=0;
For x:=6 downto 2 do y:=y+x;
y:=y*2;
Вопрос 28
Определить значение переменной y после выполнения следующих фрагментов программы:
Var y: real; k: integer;
. . .
y:=1;
For k:=6 to 3 do y:=y+k;
Вопрос 29
Определить значение переменной s после выполнения следующих фрагментов программы
Var s: real; i: integer;
. . .
s:=0; i:=5;
while i>2 do i:=i-1;
s:=s+i*i;
Вопрос 30
Определить значение переменной s после выполнения следующих фрагментов программы
Var s: real; i: integer;
. . .
s:=0;
i:=2;
repeat
i:=2*i;
s:= s+i
until i>5;


