Контрольная работа по теме "Дроби"
Список вопросов теста
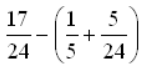
Вопрос 1
Найдите значение выражения:

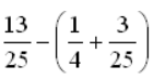
Вопрос 2
Найдите значение выражения:

Вопрос 3
Найдите значение выражения:
12,4 - 37 : (50-31,5) * 5,7
Вопрос 4
Найдите значение выражения:
45 : 0,5 + 0,1 * 100
Вопрос 5
Записать 7% в виде десятичной дроби.
Вопрос 6
Найдите значение выражения:

Вопрос 7
Какую часть число 5 составляет от числа 20 ?
Варианты ответов
- двадцатую
- четвертую
- пятую
- десятую
Вопрос 8
Найти отношение 14 см к 0,7 м.
Варианты ответов
- 2
- 20
- 0,2
- 0,5
Вопрос 9
Выразите число 0,03 в процентах.
Варианты ответов
- 3%
- 0,3%
- 30%
- 300%
Вопрос 10
Записать 0,1% в виде десятичной дроби.
Варианты ответов
- 0,1
- 0,001
- 0,01
- 0,0001
Вопрос 11
В палисаднике возле школы посадили 50 роз, из них 15 роз - белого цвета. Сколько процентов от всех роз составляют белые?
Вопрос 12
Выразие в процентах дробь.

Варианты ответов
- 40%
- 4%
- 25%
- 0,25%
Вопрос 13
Найти число, 20% которого равно 16.
Вопрос 14
Длина маршрута 35 км. Туристы прошли пешком 20 % пути, а оставшуюся часть пути плыли на плотах. Сколько километров туристы проплыли на плотах?
Вопрос 15
Приготовили раствор из 45 г соли и 155 г воды. Сколько процентов соли он содержит?


