Итоговый тест по алгебре
Тест содержит задания, распределённые от более лёгкого до более сложного. Некоторые задания комбинируют в себе сразу несколько тем.
Список вопросов теста
Вопрос 1
Решите уравнение:

В ответе запишите наибольший корень.
Вопрос 2
Решите уравнение:

Из наибольшего корня вычтите выражение
и запишите полученный результат в качестве ответа.
Вопрос 3
Найдите значение выражения
При x=9
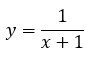
Вопрос 4
Укажите область определения функции

Примечание: если потребуется, используйте знак бесконечности ∞ изнак объединения множеств U.
Пример ответа: (-∞; 0]U[1; 2]
Вопрос 5
Решите задачу:
Велосипедист выехал с постоянной скоростью из города А в город Б, расстояние между которыми равно 60 км. Отдохнув, он отправился обратно в А, увеличив скорость на 10 км/ч. По пути он сделал остановку на 3 часа, в результате чего затратил на обратный поуть столько же времени, сколько и на путь от А до Б. Найдите скорость велосипедиста на пути из А в Б.
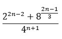
Вопрос 6
Найдите значение выражения

При n=2017
Ответ запишите в виде десятичной дроби
Вопрос 7
При каком значении параметра p уравнение

имеет только 1 корень?
Если таких значений несколько, напишите их в порядке возрастания, отделяя друг от друга точкой с запятой и пробелом (например: 1; 6; 24)
Вопрос 8
Не решая уравнение
, найдите сумму квадратов его корней.


