Итоговый тест по алгебре за курс 9 класса.
Список вопросов теста
Вопрос 1
Решите уравнение: х(х2 + 2х+1) = 6 (х + 1).
Если корней несколько, то запишите их в порядке возрастания, без запятых и пробелов.
Вопрос 2
Решите неравенство: (\(\sqrt{20}\)- 4,5)(5 + 3х) > 0
Варианты ответов
-
\(\left(-0,6;+\infty\right)\)
-
\(\left(-\infty;\ -0,6\right)\)
-
\(\left(-\infty;-1\frac{2}{3}\right)\)
-
\(\left(-1\frac{2}{3};+\infty\right)\)
Вопрос 3
Сократите дробь:\(\frac{18^n}{3^{2n-1}\cdot2^{n-2}}\)
Вопрос 4
Решите неравенство: \(\frac{х^2}{2}\ge\frac{2х\ +\ 2}{3}\)
Варианты ответов
-
\(\left(-\infty;\ -2\right]\cup\ \left[6;\ +\infty\text{}\right)\)
-
\(\left(-\infty;\ -\frac{2}{3}\right]\cup\ \left[2;\ +\infty\text{}\right)\)
-
\(\left[-\frac{2}{3};2\right]\)
-
[-2;6]
Вопрос 5

Установите соответствие между функциями и их графиками.
1.
1)
2.
2)
3.
3)
4.
4)
Варианты ответов
- -2x + 4
- 2x - 4
- 2x + 4
Вопрос 6

Установите соответствие между функциями и их графиками.
1.
1)
2.
2)
3.
3)
4.
4)
Варианты ответов
-
у = х2 - 2х
-
у = х2 + 2х
-
у = - х2 - 2х
Вопрос 7
Дана геометрическая прогрессия (bn), для которой b5 = −14, b8 = 112. Найдите знаменатель прогрессии.
Вопрос 8
Арифметическая прогрессия (an) задана условиями: a1 = 3, an+1 = an – 4. Найдите а10.
Вопрос 9
Найдите значение выражения:
\(\frac{1}{\sqrt{3}-2}-\ \frac{1}{\sqrt{3}+\ 2}\)
Вопрос 10
Решите уравнение: х4 = (2х - 15)2.
Если корней несколько, то введите их без пробелов и запятых в порядке возрастания.
Вопрос 11

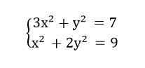
Решите систему двух уравнений. В ответ запишите сумму всех х и у.
Вопрос 12
Решите неравенство: (х + 2)2(х + 4)\(\le\)0 .
В ответ запишите наибольшее целое число, которое является решением неравенства.


