Итоговый тест по алгебре 8 класс
Список вопросов теста
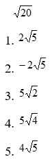
Вопрос 1
Вычислите значение выражения:
.
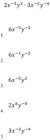
Вопрос 2
Вычислите значение выражения
.
Вопрос 3
Вычислите значение данного выражения.

Укажите вариант ответа.
Вопрос 4
Вычислите значение выражения
.
Вопрос 5
Вынесите множитель за знак корня.

Укажите вариант ответа.
Вопрос 6
Внесите множитель под знак корня.

Укажите вариант ответа.
Вопрос 7
Найдите корни уравнения 25x2 - 16 = 0.

Варианты ответов
- 1
- 2
- 3
- 4
- 5
Вопрос 8
Найдите корни уравнения -x2 + 2 = 0.

Варианты ответов
- 1
- 2
- 3
- 4
- 5
- 6
- 7
Вопрос 9
Решите уравнение x2 - 3x + 2 = 0.
Варианты ответов
- 2
- 3
- 1
- 0
- 1,5
Вопрос 10
Найдите корни квадратного уравнения 4x2 + 4x + 1 = 0.
Вопрос 11
Решите уравнение 3х2 –2х – 5 = 0. Если уравнение имеет более одного корня, в ответе укажите меньший из них.
Вопрос 12
Решите уравнение х2 – 2х = 0. В ответе укажите сумму корней
Вопрос 13
Упростите выражение.

Выберите вариант ответа
Вопрос 14
Вычислите: 16*2-5.
Вопрос 15
Найдите значение выражения (0,5-4) * (1,5)0.
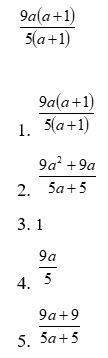
Вопрос 16
Сократите дробь:

Выберите вариант ответа.
Вопрос 17
Найдите значение рациональной дроби при x = 4,2:

Вопрос 18
Найдите значение рациональной дроби при а = -1:
.
Варианты ответов
- 2
- 4
- -4
- -2
Вопрос 19
Найдите допустимые значения переменной в выражении:
.
Варианты ответов
- -2,5
- 0
- все числа
- все числа, кроме -2,5
- все числа, кроме 0
Вопрос 20
Найдите значение данного выражения:

Варианты ответов
- не имеет значения
- 10,2
- -1,2
- 10,02
- 17


