Итоговый тест по алгебре
Автор скрыт
18.05.2020.
Тест. Алгебра, 7 класс
Контрольная проверка знаний курса алгебры за 7 класс
Система оценки:
5* балльная
Список вопросов теста
Вопрос 1
Упростите выражение (y – 4)(y+2) – (y – 2)2
Варианты ответов
- – 6y– 4
- 2y– 12
- – 2y– 4
- – 2y– 12
Вопрос 2
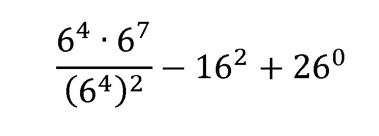
Найдите значение выражения

Варианты ответов
- –39
- – 41
- 182
- –14
Вопрос 3
Найдите значение выражения х + у, если (х; у) — решение системы уравнений
3x + 5y = 12;
x – 2y = –7
Варианты ответов
- 2
- 3
- 4
- 5
Вопрос 4
Найдите значение аргумента, при котором значение функции y=6x –12 равно 18
Варианты ответов
- 5
- –1
- 96
- 120
Вопрос 5
Определите, проходит ли график функции y=2–2x через точку А(10; –18)
Варианты ответов
- да
- нет
Вопрос 6
Разложите на множители 3a– 4b +6ax– 8bx
Варианты ответов
- (3a –4b)(1+2x)
- (3a +4b)(1–2x)
- (3a –4b)2x
- (3a +4b)(2x –1)
Вопрос 7
Разложите на множители x3+8y3– 2x2y– 4xy2
Варианты ответов
- (x+2y) (x+2y)(x –2y)
- (x+2y)(x –2y)(x –2y)
- (x+2y)( x +4y)(x–y)
- (x+4y)(x –2y)(x–y)
Вопрос 8
Туристическая группа ехала 3ч на автобусе и шла 4 ч пешком, преодолев в общей сложности путь в 200км. Скорость автобуса была на 55 км/ч больше скорости движения пешком. Какое расстояние группа прошла пешком?
Варианты ответов
- 5
- 15
- 20
- 60
Получите комплекты видеоуроков + онлайн версии
Пройти тест
Сохранить у себя:
Тесты по алгебре 7 класс
0
139
Нравится
0


