Итоговое повторение
Автор скрыт
03.06.2020.
Тест. Геометрия, 9 класс
Тест содержит вопросы по курсу геометрии 7-9 класса.
Система оценки:
5 балльная
Список вопросов теста
Вопрос 1

Варианты ответов
- 10 см
- 20 см
- 30 см
- 40 см
- 15 см
Вопрос 2
Чтобы площадь круга увеличилась на 44%, его радиус нужно увеличить на:
Варианты ответов
- 10%
- 20%
- 22%
- 40%
Вопрос 3
В прямоугольном треугольнике катеты 10 см и 24 см. Длина описанной окружности равна:
Варианты ответов
-
13\(\pi\)
-
14\(\pi\)
-
20\(\pi\)
-
26\(\pi\)
Вопрос 4
В прямоугольном треугольнике биссектриса острого угла делит катет на отрезки 4 и 5.
Площадь треугольника равна:
Вопрос 5

Варианты ответов
- 3
- 4
- 5
- 6
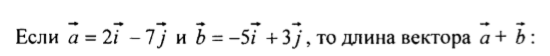
Вопрос 6

Варианты ответов
- 8
- 4
- 2
- 1
Получите комплекты видеоуроков + онлайн версии
Пройти тест
Сохранить у себя:
Тесты по геометрии 9 класс
0
144
Нравится
0


