Итоговая контрольная работа
Степанов Дмитрий Николаевич
26.05.2020.
Тест. Алгебра, 7 класс
Итоговая контрольная работа за 7 класс по алгебре.
Система оценки:
5 балльная
Список вопросов теста
Вопрос 1
Упростить выражение:
\(3a\left(a+2\right)-\left(a+3\right)^2\)
Варианты ответов
-
\(2a^2+12a+9\)
-
\(2a^2+12a-9\)
-
\(2a^2-9\)
-
\(2a^2+6a-9\)
Вопрос 2
Известно, что
\(a-b=2\)
Чему равно значение выражения
\(12-a^2+2ab-b^2\)
Вопрос 3
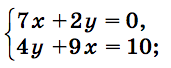
Решить систему уравнений

Вопрос 4
Решить уравнение

Вопрос 5
Разложите многочлен
\(5a\left(a-1\right)+2\left(1-a\right)\)
на множителети и отметьте верные ответы
Варианты ответов
-
\(\left(a-1\right)\left(5a-2\right)\)
-
\(\left(a-1\right)\left(5a+2\right)\)
-
\(\left(5a+2\right)\left(1-a\right)\)
-
\(\left(1-a\right)\left(2-5a\right)\)
Получите комплекты видеоуроков + онлайн версии
Пройти тест
Сохранить у себя:
Тесты по алгебре 7 класс
0
145
Нравится
0


