Итоговая контрольная работа 10 класс, 1 вариант
Список вопросов теста
Вопрос 1
Информацию, изложенную на доступном для получателя языке, называют
Варианты ответов
- полезной
- актуальной
- достоверной
- понятной
Вопрос 2
Определите информационный объем сообщения из 384 символов 16-ти символьного алфавита? Ответ запишите в байтах, записав только число.
Вопрос 3
Скорость передачи данных модемом по протоколу V.34 составляет 28800 бит/c. При помощи данного протокола необходимо передать файл размером 18000 байт. Определите время передачи файла в секундах. В ответе укажите только количество секунд.
Вопрос 4
Сколько единиц в двоичной записи числа 151?
Вопрос 5
Для передачи секретного сообщения используется код, состоящий из десятичных цифр. При этом все цифры кодируются одним и тем же (минимально возможным) количеством бит. Определите информационный объем сообщения длиной в 150 символов
Варианты ответов
- 750 бит
- 600 бит
- 1200 бит
- 1500 бит
Вопрос 6
Определите значение целочисленной переменной a после выполнения фрагмента программы:
a:= 3 + 8*4;
b:= (a div 10) + 14;
a:= (b mod 10) + 2;
div и mod – операции, вычисляющие результат деления нацело первого аргумента на второй и остаток от деления соответственно
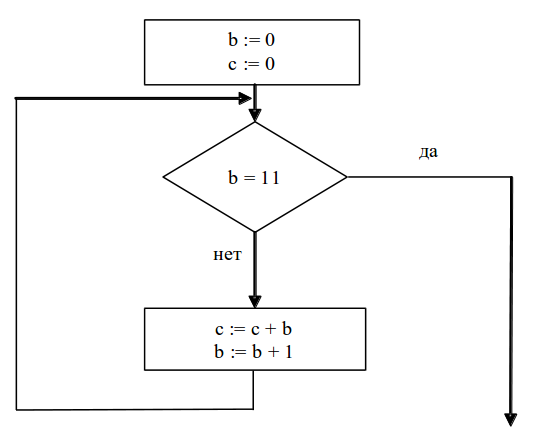
Вопрос 7
Определите значение переменной с после выполнения фрагмента алгоритма:



