Итоговая аттестация. Вариант 4
Автор скрыт
17.03.2020.
Тест. Алгебра, 11 класс
Один из вариантов подготовительной работы к итоговой аттестации
Система оценки:
5 балльная
Список вопросов теста
Вопрос 1
Варианты ответов
- - pi
- pi/2
- pi
- -pi/4
- pi/4
Вопрос 2
Варианты ответов
- 2; 1
- 1; 2
- (-5+(33)^1/2)/2; (-5-(33)^1/2)/2
- (-5+(33)^1/2)/2; 2
- (-5+(33)^1/2)/2; (-5-(33)^1/2)/2; 2
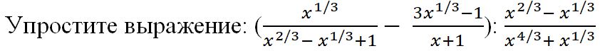
Вопрос 3
Варианты ответов
- x^(1/3) - 1
- x^(2/3) - 1
- x^(1/3) + 1
- 1- x^(2/3)
- 1- x^(1/3)
Вопрос 4
Варианты ответов
- (-ꚙ; 0)
- (0;1)
- (0;+ꚙ)
- (-2;1)
- (1; 5)
Вопрос 5
Варианты ответов
- -3,5
- 1,5
- 3,5
- 0,5
- 2,5
Получите комплекты видеоуроков + онлайн версии
Пройти тест
Сохранить у себя:
Тесты по алгебре 11 класс
0
105
Нравится
0


