Иррациональные уравнения
Лось Татьяна Николаевна
05.05.2020.
Тест. Математика, 10 класс
Тест предназначен для проверки знаний, умений и навыков по теме "Иррациональные уравнения". Предполагает 10 балльную систему оценки.
Система оценки:
10 балльная
Список вопросов теста
Вопрос 1
Варианты ответов
- не существует
- 1/5
- -1/5
- -5
Вопрос 2
Варианты ответов
- корней нет
- -7
- 7
- -5/3
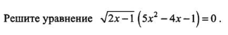
Вопрос 3
Варианты ответов
- 1
- -1 2/3
- 1; -1 2/3
- корней нет
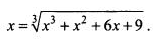
Вопрос 4
Варианты ответов
- -3; 3
- корней нет
- -3
- 3
Вопрос 5
Вопрос 6
Вопрос 7
Ответ запиши в виде десятичных дробей.
Вопрос 8
В ответе запиши сумму корней или корень, если он единственный
Получите комплекты видеоуроков + онлайн версии
Пройти тест
Сохранить у себя:
Тесты по математике 10 класс
0
208
Нравится
0


