ЕГЭ (Математика Профиль) Каталог задач №2. Векторы
Семенова Светлана Александровна
03.10.2023.
Тест. Математика, 11 класс
Решить задачи и выбрать правильный ответ из всех предложенных
Система оценки:
5*** балльная
Список вопросов теста
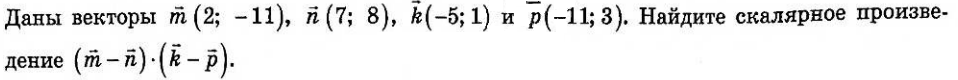
Вопрос 1

Варианты ответов
- 8
- 6
- 10
- 4
- 12
- 16
Вопрос 2

Варианты ответов
- -21
- -24
- -17
- -16
- -12
- -26
- -18
- -14
Вопрос 3

Варианты ответов
- 5
- 7
- 8
- 9
- 4
- 6
- 10
- 12
Вопрос 4

Варианты ответов
- 6
- 4
- 5
- 7
- 8
- 9
- 10
- 12
Вопрос 5

Варианты ответов
- 8
- 7
- 6
- 5
- 4
- 9
- 10
- 11
- 12
Вопрос 6

Варианты ответов
- 36
- 32
- 28
- 26
- 38
- 42
- 54
- 18
- 16
- 12
Вопрос 7

Варианты ответов
- 19
- 18
- 17
- 16
- 15
- 21
- 24
- 25
Вопрос 8

Варианты ответов
- 0,8
- -0,8
- 2
- -2
- 4
- -4
- 6
- -6
- 0,4
- -0,4
- 0,2
- -0,2
- 8
- -8
Вопрос 9

Варианты ответов
- 4
- -4
- 2
- -2
- 8
- -8
- 0,8
- -0,8
- 0,4
- -0,4
- 0,2
- -0,2
Вопрос 10

Варианты ответов
- -7
- 7
- 8
- -8
- 9
- -9
- 6
- -6
- 5
- -5
Вопрос 11

Варианты ответов
- -0,28
- 0,28
- -0,32
- 0,32
- 0,62
- -0,62
- 0,78
- -0,78
Вопрос 12

Варианты ответов
- -0,6
- 0,6
- 6
- -6
- 2
- -2
- 0,2
- -0,2
Вопрос 13

Варианты ответов
- -23
- 23
- 21
- -21
- 27
- -27
- 29
- -29
Вопрос 14

Варианты ответов
- -8
- 8
- 6
- -6
- 4
- -4
- 12
- -12
Вопрос 15

Варианты ответов
- -40
- 40
- 60
- -60
- 48
- -48
- 54
- -54
Вопрос 16

Варианты ответов
- -16
- 16
- 8
- -8
- 12
- -12
Вопрос 17

Варианты ответов
- 8
- -8
- 6
- -6
- 12
- -12
- 9
- -9
Вопрос 18

Варианты ответов
- -6,6
- -13,4
- 13,4
- 6,6
- 3,4
- -3,4
- 7,4
- -7,4
- 7,6
- -7,6
Вопрос 19

Варианты ответов
- -7
- 7
- 61
- -61
- 1
- -1
Вопрос 20

Варианты ответов
- -7
- 47
- -47
- 7
- 6
- -6
- 26
- -26
Вопрос 21

Варианты ответов
- 12
- 8
- 10
- 6
- 14
- 16
Вопрос 22

Варианты ответов
- 13
- 15
- 17
Вопрос 23

Варианты ответов
- 54
- 64
- 48
Вопрос 24

Варианты ответов
- 64
- 32
- 128
Вопрос 25

Варианты ответов
- -9
- 9
- 18
- -18
- 4,5
- -4,5
Получите комплекты видеоуроков + онлайн версии
Пройти тест
Сохранить у себя:
Тесты по математике 11 класс
0
1388
Нравится
0


