Язык программирования Pascal. Операторы присваивания, ввода и вывода
Список вопросов теста
Вопрос 1
Установите соответствие между служебными словами языка программирования Pascal и их назначением:
1.
var
2.
read
3.
write
4.
begin
5.
end
Варианты ответов
- раздел описания переменных
- ввод данных в программу
- вывод данных на экран
- начало программного блока
- конец программного блока
Вопрос 2
Установите соответствие между операторами и результатами их выполнения, если значение переменной равно 5:
1.
write (a);
2.
write ('a');
3.
write ('a=', a);
4.
write (a:5:1);
Варианты ответов
- 5
- a
- a=5
- __5.0
Вопрос 3
Установите соответствие между операторами ввода и введенными данными, если целочисленные переменные a, b, c должны получить значения 10, 20, 30 соответственно.
1.
read (b, c, a)
2.
read (b, a, c)
3.
read (c, a, b)
4.
read (c, b, a)
Варианты ответов
- 20 30 10
- 20 10 30
- 30 10 20
- 30 20 10
Вопрос 4
Выберите выражение, записанное на языке программирования Pascal, соответствующее математической записи, представленной на рисунке:

Варианты ответов
- 1/2(a+b)h
- 1/2*(a+b)/h
- 1/2/(a+b)/h
- (a+b)*h/2
- (a+b)*2/h
Вопрос 5
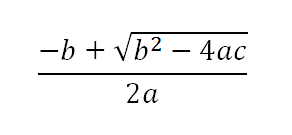
Какие выражения на языке программирования Pascal не соответствуют математическому выражению, представленному на рисунке?

Варианты ответов
- (-b+sqrt(b*b-4*a*c))/(2*a)
- (-b+sqrt(b*b-4*a*c))/2*a
- (-b+sqrt(b*b-4*a*c))/2/a
- -b+sqrt(b*b-4*a*c)/(2*a)
- (sqrt(b*b-4*a*c)-b)/(2*a)
Вопрос 6
Чему будет равно значение переменной b после выполнения данного фрагмента программы?
a := 10;
b := 20;
b := a + b;
a := b - a;
b := b + a;
Вопрос 7
Чему будет равно значение переменной a после выполнения данного фрагмента программы?
a := 57;
b := 5;
a := a div b;
b := a mod b;
a := a + b;


