Основы языка программирования Python (повторение 7 класса)
Список вопросов теста
Вопрос 1
Информация, представленная в формализованном виде и пригодная для обработки на компьютере называется ...
Вопрос 2
Именованная ячейка памяти, хранящая свое значение называется ...
Варианты ответов
- Переменная
- Константа
- Данные
- Оператор присваивания
Вопрос 3
Поставьте в соответствие содержимое правого и левого столбцов:
1.
print()
2.
float
3.
input()
4.
int
Варианты ответов
- вывод результата
- вещественный тип
- ввод данных
- целый тип
Вопрос 4
Оператор присваивания можно представить в виде:
Варианты ответов
- выражение = имя переменной
- константа = выражение
- имя переменной = выражение
- выражение = константа
Вопрос 5
Что будет выведено на экран в результате выполнения следующей программы:

Вопрос 6
Какие операции определены над переменными целого типа:
Варианты ответов
- +
- -
- *
- /
- %
- //
Вопрос 7
Какие операции определены над переменными рационального типа:
Варианты ответов
- +
- -
- *
- /
- %
- //
Вопрос 8
Определите тип результата выражения: 35 + 12 / 3 - 1
Варианты ответов
- Положительный
- Целый
- Рациональный
- Натуральный
Вопрос 9
Результатами выполнения операций:
15 // 8= , 23 // 2= , 16 % 4 = , 35 % 4=
будут числа:
Варианты ответов
- 1, 11, 0, 8
- 1, 11, 0, 3
- 7, 11, 4, 3
- 1, 1, 0, 8
Вопрос 10
Поставьте в соответствие содержимое правого и левого столбцов:
1.
%
2.
int
3.
4.
//
Варианты ответов
- нахождение остатка от деления
- целый тип
- вывод данных
- целочисленное деление
Вопрос 11
Определите тип результата выражения: 48 + 12.5*3
Варианты ответов
- Положительный
- Целый
- Рациональный
- Натуральный
Вопрос 12
Для организации ввода данных используются команды:
Варианты ответов
- input
- int
- float
Вопрос 13
Для организации вывода данных используется команда:
Варианты ответов
- float
- int
- input
Вопрос 14
Проверка правильности работы программы при разных наборах исходных данных
Вопрос 15
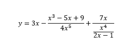
Выберите правильный вариант написания арифметического выражения на языке Phyton:

Варианты ответов
- y = 3 * x - (x**3 - 5 * x + 9) / (4 * x**5) + 7 * x / (x**4/(2 * x - 1))
- y = 3 * x - (x**3 - 5 * x + 9) / 4 * x**5 + (7 * x) / (x**4/(2 * x - 1))
- y = 3 * x - x**3 - 5 * x + 9 / (4 * x**5) + 7 * x / (x**4/2 * x - 1)
- y = 3 * x - (x**3 - 5 * x + 9) / 4 * x**5 + (7 * x) / x**4/(2 * x - 1)
Вопрос 16
Выберите правильные обозначения имен переменных:
Варианты ответов
- _2p
- угол
- minimum1
- input
- 34
- r_7
- primer 1
Вопрос 17
Выберите правильный вариант ответа следующего определения:
"Команда "цикл с параметром" - это ..."
Варианты ответов
- способ организации алгоритмической конструкции повторение, при котором количество повторов зависит от начального и конечного значений параметра цикла
- способ организации алгоритмической конструкции повторение, при котором количество выполнений команд тела цикла зависит от истинности или ложности условия цикла
Вопрос 18
Выберите правильный вариант ответа следующего определения:
"Команда "цикл с предусловием" - это ..."
Варианты ответов
- способ организации алгоритмической конструкции повторение, при котором количество повторов зависит от начального и конечного значений параметра цикла
- способ организации алгоритмической конструкции повторение, при котором количество выполнений команд тела цикла зависит от истинности или ложности условия цикла
Вопрос 19
Поставьте в соответствие содержимое правого и левого столбцов:
1.
while <условие>:
тело цикла
2.
for i in range(n1,n2):
тело цикла
3.
if <условие>:
команда(ы)1
else:
команда(ы)2
Варианты ответов
- формат записи команды "цикл с предусловием"
- формат записи команды "цикл с параметром"
- формат записи команды "ветвление"
Вопрос 20
Поставьте в соответствие содержимое правого и левого столбцов:
1.

2.

3.

4.

Варианты ответов
- алгоритмическая конструкция "следование"
- алгоритмическая конструкция "цикл с предусловием"
- алгоритмическая конструкция "цикл с параметром"
- алгоритмическая конструкция "ветвление"


