Графы
Гарифуллина Рамиля Мударисовна
10.12.2020.
Тест. Информатика, 8 класс
Дополнительное задание на оценку для учеников 8 класса
Система оценки:
5* балльная
Список вопросов теста
Вопрос 1
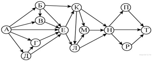
Сколько существует различных путей из города А в город Т?
Вопрос 2
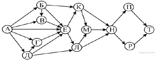
Сколько существует различных путей из города А в город Т?
Вопрос 3
Сколько существует различных путей из города А в город М?
Получите комплекты видеоуроков + онлайн версии
Пройти тест
Сохранить у себя:
Тесты по информатике 8 класс
0
246
Нравится
0


