Граф
Песецкая Мария Николаевна
15.11.2023.
Тест. Информатика, 9 класс
Граф. Весовая матрица графа. Виды и хар-ки графов.
Система оценки:
5 балльная
Список вопросов теста
Вопрос 1
Граф это
Варианты ответов
- конечное множество вершин и множество ребер, соединяющих эти вершины. Две вершины называются соседними, если они соединены
- конечное множество вершин (или узлов) и множество ребер, соединяющих эти вершины. Две вершины называются соседними, если они соединены друг с другом ребром
- конечное множество вершин (или узлов) , соединяющих эти вершины. Две вершины называются соседними, если они соединены друг с другом ребром
Вопрос 2
Путь это
Варианты ответов
- последовательность ребер, в которой каждая вершина соединена со следующей вершиной ребром.
- последовательность вершин, в которой каждая вершина соединена со следующей вершиной ребром.
- последовательность вершин, в которой каждая вершина соединена вершиной ребра.
Вопрос 3
Порядок это
Варианты ответов
- количество графов
- количество вершин графа
- количество вершин
Вопрос 4
Размер –
Варианты ответов
- количество ребер графа
- количество вершин графа
- количество путей графа
Вопрос 5
Связность (степень связности) вершины
Варианты ответов
- количество ребер, исходящих из этой 2 вершины.
- количество ребер, исходящих из этой вершин.
- количество ребер, исходящих из этой вершины.
Вопрос 6
Изолированная вершина –
Варианты ответов
- вершина, связанная с другими вершинами графа.
- вершина, не связанная с другими вершинами графа.
- нет верного ответа
Вопрос 7
Петля –
Варианты ответов
- ребро от вершины к этой же вершине.
- ребро от вершины к новой вершине.
- ребро от вершины к последней вершине.
Вопрос 8
Ориентированный граф –
Варианты ответов
- граф, в котором все ребра имеют направление, указывающее, какая из вершин ребра является начальной, а какая – конечной.
- граф, в котором все ребра не имеют направление, указывающее, какая из вершин ребра является начальной, а какая – конечной.
- граф, в котором все ребра имеют направление, не указывающее, какая из вершин ребра является начальной, а какая – конечной.
Вопрос 9
Неориентированный граф –
Варианты ответов
- граф, в котором у ребер есть направления
- граф, в котором у ребер нет направлений
- граф, в котором у ребер нет направлений и нет цифр
Вопрос 10
Взвешенный граф –
Варианты ответов
- все ребра графа имеют веса
- ребра графа не имеют весов.
Вопрос 11
Невзвешенный граф
Варианты ответов
- все ребра графа имеют веса
- ребра графа не имеют весов.
Вопрос 12
что это 
Варианты ответов
- ориентированный невзвешенный
- взвешенный
- ориентированно взвешенный
- ориентированный с циклом
Вопрос 13
что это 
Варианты ответов
- ориентированный
- взвешенный
- ориентированно взвешенный
- ориентированный с циклом
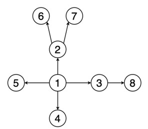
Вопрос 14
что это 
Варианты ответов
- ориентированный
- взвешенный
- ориентированно взвешенный
- ориентированный с циклом
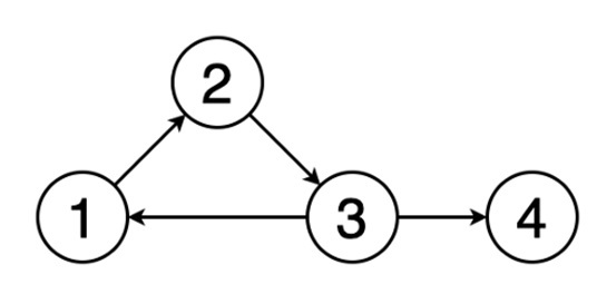
Вопрос 15
что это 
Варианты ответов
- ориентированный
- взвешенный
- ориентированно взвешенный
- ориентированный с циклом
- взвешенный неориентированный
Получите комплекты видеоуроков + онлайн версии
Пройти тест
Сохранить у себя:
Тесты по информатике 9 класс
0
510
Нравится
0


