Готовимся к ОГЭ (вместе)_пробный вариант№1
Список вопросов теста
Вопрос 1
В одной из кодировок каждый символ кодируется 8 битами. Вова написал текст (в нём нет лишних пробелов):
«Фиалка, лютик, роза, гвоздика, мак, хризантема, гладиолус – это цветы».
Затем он добавил в список название ещё одного растения. Заодно он добавил необходимые запятые и пробелы. При этом размер нового предложения в данной кодировке оказался на 11 байт больше, чем размер исходного предложения. Напишите в ответе длину добавленного названия растения в символах.
Вопрос 2
От разведчика было получено сообщение: 1010111110010001111
В этом сообщение зашифрован пароль - последовательность русских букв. В пароле использовались только буквы А, Б, К, Л, О, С; каждая буква кодировалась двоичным словом по таблице, показанной на рисунке.

Расшифруйте сообщение. В ответе напишите какя буква встречается чаще и сколько раз, например если у вас получится слово АБАСКБАБКА, то ответ должен А4.
Вопрос 3
Между населёнными пунктами A, B, C, D, E, F построены дороги, протяжённость которых приведена в таблице. Отсутствие числа в таблице означает, что прямой дороги между пунктами нет. 
Передвигаться можно только по указанным дорогам.
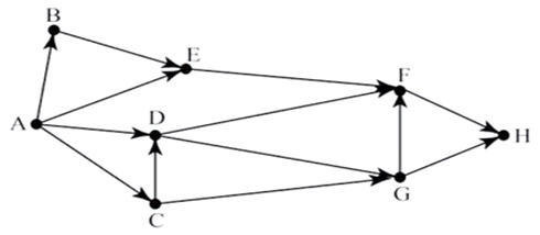
Вопрос 4
На рисунке – схема дорог, связывающих города A, B, C, D, E, F, G и H.
По каждой дороге можно двигаться только в одном направлении, указанном стрелкой.
Сколько существует различных путей из города A в город H, проходящих через город F?
Вопрос 5
Среди приведенных ниже трех чисел, записанных в различных системах счисления, найдите наибольшее и запишите его ответ в десятичной системе счисления. В ответе запишите только число, основание системы счисления указывать не нужно.
3616, 638, 1111002
Вопрос 6
Доступ к файлу monkey.jpg, находящемуся на сервере animals.ru, осуществляется по протоколу http. Фрагменты адреса файла закодированы буквами от А до Ж. Запишите последовательность этих букв, кодирующую адрес указанного файла в сети Интернет.
A) http
Б) ://
B) animals.
Г) /
Д) monkey
Е) ru
Ж) .jpg


