Готовимся к ЕГЭ - 7 ( №15)
Список вопросов теста
Вопрос 1
На рисунке представлена схема дорог, связывающих города А, Б, В, Г, Д, Е, Ж, 3, И, К, Л, М. По каждой дороге можно двигаться только в одном направлении, указанном стрелкой.
Сколько существует различных путей из города А в город М, проходящих через город Ж, но не проходящих через город К?
Вопрос 2
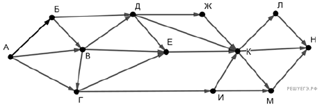
На рисунке — схема дорог, связывающих пункты А, Б, В, Г, Д, Е, Ж, И, К, Л, М, Н.
Сколько существует различных путей из пункта А в пункт Н, не проходящих через пункт В?
Вопрос 3
На рисунке — схема дорог, связывающих города А, Б, В, Г, Д, Е, Ж, К, Л, М, Н, П, Р, С, Т. По каждой дороге можно двигаться только в одном направлении, указанном стрелкой.
Сколько существует различных путей из города А в город Т, проходящих через город Л?
Вопрос 4
На рисунке изображена схема дорог, связывающих города А, Б, В, Г, Д, Е, Ж, И, К, Л. По каждой дороге можно двигаться только в одном направлении, указанном стрелкой. Сколько существует различных путей из города А в город Л?
Вопрос 5
На рисунке представлена схема дорог. По каждой дороге можно двигаться только в одном направлении, указанном стрелкой. Сколько существует различных путей из города А в город К, проходящих через город Г и НЕ проходящих через город З?
Вопрос 6
На рисунке – схема дорог, связывающих города А, Б, В, Г, Д, Е, К, Л, М, Н, П, Р, Т. По каждой дороге можно двигаться только в одном направлении, указанном стрелкой. Сколько существует различных путей из города А в город Т?
Вопрос 7
На рисунке — схема дорог, связывающих города А, Б, В, Г, Д, Е, Ж, К, Л, М, Н, П, Р, С, Т. По каждой дороге можно двигаться только в одном направлении, указанном стрелкой.
Сколько существует различных путей из города А в город Т, проходящих через город М?
Вопрос 8
На рисунке — схема дорог, связывающих пункты А, Б, В, Г, Д, Е, Ж, И, К, Л, М, Н.
Сколько существует различных путей из пункта А в пункт Н, не проходящих через пункт В?
Вопрос 9
На рисунке представлена схема дорог, связывающих города А, Б, В, Г, Д, Е, Ж, 3, И, К, Л, М. По каждой дороге можно двигаться только в одном направлении, указанном стрелкой.
Сколько существует различных путей из города А в город М, проходящих через город Л, но не проходящих через город Е?
Вопрос 10
На рисунке представлена схема дорог, связывающих города А, Б, В, Г, Д, Е, Ж, З, И, К, Л, М. По каждой дороге можно двигаться только в одном направлении, указанном стрелкой.
Сколько существует различных путей из города А в город М, проходящих через город Ж?


