Геометрическая прогрессия
Список вопросов теста
Вопрос 1
Найдите шестой член геометрической прогрессии, если b1=5, q=-1.
Варианты ответов
- 5
- -5
- -1
- 0
Вопрос 2
Каким может быть значение второго члена геометрической прогрессии, у которой b1=3 и b3=27?
Варианты ответов
- 15
- -15
- 9
- -9
Вопрос 3
Найдите знаменатель геометрической прогрессии, если a1=12, а4=96.
Вопрос 4
Найдите первый член и знаменатель геометрической прогрессии, у которой c2=30 и с5=-30000.
Варианты ответов
-
c1=3, q=10
-
c1=-3, q=10
-
c1=3, q=-10
-
c1=-3, q=-10
Вопрос 5
Определите номер члена геометрической прогрессии равного 1024, если x1=2 и q=2. В ответе укажите только число.
Вопрос 6
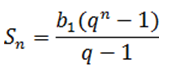
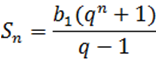
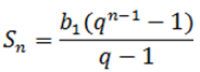
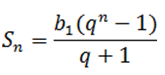
Укажите формулу суммы первых n членов геометрической прогрессии.
Варианты ответов
Вопрос 7
Установите соответствие между геометрическими прогрессиями и значениями знаменателя q.
1.
-1/3
2.
5
3.
0,1
Варианты ответов
- 3; -1; ...
- 5; 25; ...
- 7; 0,7; ...
Вопрос 8
Укажите геометрическую прогрессию, все члены которой являются отрицательными числами.
Варианты ответов
-
b1=-3, q=-2
-
b1=3, q=-2
-
b1=-3, q=2
-
b1=3, q=2
Вопрос 9
Какова сумма первых восьми членов геометрической прогрессии, у которой b1=-2, q=3?
Варианты ответов
- 4750
- 6560
- -6560
Вопрос 10
Найдите знаменатель геометрической прогрессии, если c1=1 и S5=341.
Варианты ответов
- q=2
- q=3
- q=4
- q=5






