Функция y=√x и ее график
Список вопросов теста
Вопрос 1
Укажите, как выглядит график данной функции.

Варианты ответов
- 1
- 2
- 3
- 4
- 5
Вопрос 2
Пользуясь графиком, найдите значение
при х =6.

Варианты ответов
- 2,4
- 3
- 1
- 1,7
- 5,4
Вопрос 3
Пользуясь графиком, найдите значение х, которому соответствует
.

Варианты ответов
- 6,25
- 7
- 9
- 3,3
- 5
Вопрос 4
Принадлежат ли графику функции
следующие точки:
Варианты ответов
- А (10000;100)
- В (36;-6)
- С (-225;15)
- D (25;5)
- Е (0;0)
Вопрос 5
Пересекает ли график функции
прямая:
Варианты ответов
- у = 10
- у = 0
- у = -25
- у = 100
- у = 1
Вопрос 6
Укажите свойства, которыми обладает функция
:
Варианты ответов
- Если х = 0, то и у = 0. Поэтому начало координат принадлежит графику функции.
- Если х > 0, то и y > 0. График расположен в первой координатной четверти.
- Большему значению аргумента соответствует большее значение функции. Т.е. график идет вверх.
- Если х = 0, то и у № 0. Поэтому начало координат не принадлежит графику функции.
- Если х < 0, то y > 0. График расположен во второй координатной четверти.
Вопрос 7
С помощью графика функции
найдите значение функции при х = 0,25. В ответ запишите только число, например 5. Если в ответе получится десятичная дробь, то отделите целую часть от дробной запятой. Например: 0,3
Вопрос 8
С помощью графика функции
найдите значение аргумента, которому соответствует значение у = 1,5. В ответ запишите только число, например 5. Если в ответе получится десятичная дробь, то отделите целую часть от дробной запятой. Например: 0,3
Вопрос 9
Имеют ли общие точки графики функций
и y = x? В ответ запишите Да или Нет
Вопрос 10
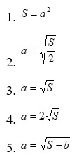
Задайте формулой зависимость длины стороны квадрата от его площади.

Варианты ответов
- 1
- 2
- 3
- 4
- 5


