Функция у = tg x и её график
Автор скрыт
17.02.2020.
Тест. Алгебра, 11 класс
Будьте внимательны! У Вас есть 10 минут на прохождение теста. Система оценивания - 5 балльная. Разбалловка теста - 3,4,5 баллов, в зависимости от сложности вопроса. Порядок заданий и вариантов ответов в тесте случайный. С допущенными ошибками и верными ответами можно будет ознакомиться после прохождения теста. Удачи!
Система оценки:
5 балльная
Список вопросов теста
Вопрос 1
При каких x значениях функция y = tg x принимает значение, равное 0?

Варианты ответов
- 1
- 2
- 3
Вопрос 2
Чему равен наименьший положительный период функции y = tg x?

Варианты ответов
- 1
- 2
- 3
- 4
- 5
Вопрос 3
Что является множеством значений функции y = tg x?
Варианты ответов
- Множество всех действительных чисел
- [-1; 1]
- Множество целых чисел
Вопрос 4
Как называется график функции y = tg x?
Вопрос 5
Сопоставьте.
1.

2.

Варианты ответов
-
tg x > 0
-
tg x < 0
Вопрос 6
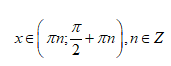
Является ли функция y = tg x возрастающей на данном интервале?

Варианты ответов
- Является
- Не является
Вопрос 7
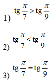
Сравните числа 

Варианты ответов
- 1
- 2
- 3
Вопрос 8
Найдите область определения функции y = tg 4x.

Варианты ответов
- 1
- 2
- 3
- 4
Вопрос 9
Отметьте корни уравнения, принадлежащие отрезку.


Варианты ответов
- 1
- 2
- 3
- 4
- 5
Вопрос 10
Найдите область определения функции y = ctg (x - 1).

Варианты ответов
- 1
- 2
- 3
- 4
Получите комплекты видеоуроков + онлайн версии
Пройти тест
Сохранить у себя:
Тесты по алгебре 11 класс
0
1640
Нравится
0


