Функция у = sin x и её график
Автор скрыт
17.02.2020.
Тест. Алгебра, 11 класс
Будьте внимательны! У Вас есть 10 минут на прохождение теста. Система оценивания - 5 балльная. Разбалловка теста - 3,4,5 баллов, в зависимости от сложности вопроса. Порядок заданий и вариантов ответов в тесте случайный. С допущенными ошибками и верными ответами можно будет ознакомиться после прохождения теста. Удачи!
Система оценки:
5 балльная
Список вопросов теста
Вопрос 1
Чему равно наибольшее значение функции y = sin x?
Вопрос 2
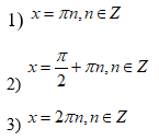
При каких x значениях функция y = sin x принимает значение, равное 0?

Варианты ответов
- 1
- 2
- 3
Вопрос 3
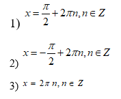
При каких x значениях функция y = sin x принимает наименьшее значение, равное -1?

Варианты ответов
- 1
- 2
- 3
Вопрос 4
Как называется кривая, являющаяся графиком функции y = sin x?
Вопрос 5
Сопоставьте.
1.

2.

Варианты ответов
-
sin x > 0
-
sin x < 0
Вопрос 6
Сравните 

Варианты ответов
- 1
- 2
- 3
Вопрос 7
Сравните 

Варианты ответов
- 1
- 2
- 3
Вопрос 8
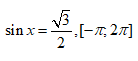
Отметьте корни уравнения, принадлежащие данному отрезку.


Варианты ответов
- 1
- 2
- 3
- 4
- 5
- 6
Вопрос 9
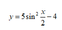
Чему равно наибольшее значение функции?

Вопрос 10
Чему равно наименьшее значение функции?

Варианты ответов
- 0
- -1
- -0,5
- -3
- -4
Получите комплекты видеоуроков + онлайн версии
Пройти тест
Сохранить у себя:
Тесты по алгебре 11 класс
0
1670
Нравится
0


