Функция у = cos x и её график
Список вопросов теста
Вопрос 1
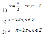
При каких x функция y = cos x принимает значение, равное 0?

Варианты ответов
- 1
- 2
- 3
Вопрос 2
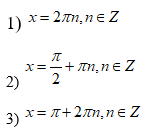
При каких x функция y = cos x принимает наибольшее значение, равное 1?

Варианты ответов
- 1
- 2
- 3
Вопрос 3
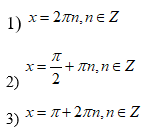
При каких x значениях функция y = cos x принимает наименьшее значение, равное -1?

Варианты ответов
- 1
- 2
- 3
Вопрос 4
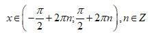
Укажите область определения функции.

Варианты ответов
Вопрос 5
Сопоставьте.
1.

2.

Варианты ответов
-
cos x > 0
-
cos x < 0
Вопрос 6
Используя свойство возрастания и убывания функции y = cos x, сравните числа cos 2 и cos 3.
Варианты ответов
-
cos 2 > cos 3
-
cos 2 < cos 3
-
cos 2 = cos 3
Вопрос 7
Найдите все корни уравнения, принадлежащие данному отрезку.


Варианты ответов
- 1
- 2
- 3
- 4
- 5
- 6
Вопрос 8
Чему равно наибольшее значение функции y = 2 + 3cos x?
Вопрос 9
Чему равно наибольшее значение функции y = cos6 x + sin6 x?
Вопрос 10
Чему равно наименьшее значение функции y = cos6 x + sin6 x?
Варианты ответов
- 1
- 2
- 3
- 4





