Функция. Свойства функции
Белозерова Евгения Александровна
04.05.2022.
Тест. Алгебра, 9 класс
Тест содержит 10 заданий. Решения заданий кратко оформляйте в тетради.
Система оценки:
5 балльная
Список вопросов теста
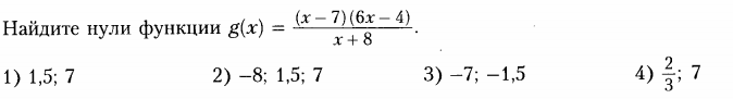
Вопрос 1

Варианты ответов
- 1
- 2
- 3
- 4
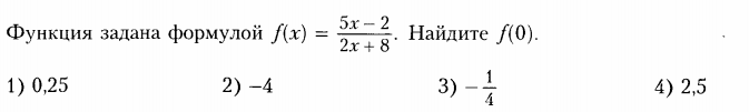
Вопрос 2

Варианты ответов
- 1
- 2
- 3
- 4
Вопрос 3

Варианты ответов
- 1
- 2
- 3
- 4
Вопрос 4

Варианты ответов
- 1
- 2
- 3
- 4
Вопрос 5

Варианты ответов
- 1
- 2
- 3
- 4
Вопрос 6

Варианты ответов
- 1
- 2
- 3
- 4
Вопрос 7

Варианты ответов
- 1
- 2
- 3
- 4
Вопрос 8

Варианты ответов
- 1
- 2
- 3
- 4
Вопрос 9

Варианты ответов
- 1
- 2
- 3
- 4
Вопрос 10

Варианты ответов
- 2
- -2
- 2,-2
- 0, 2
Получите комплекты видеоуроков + онлайн версии
Пройти тест
Сохранить у себя:
Тесты по алгебре 9 класс
0
534
Нравится
0


