Функция,оның қасиеттері және графигі
Кариева Махаббат Сапаровна
13.09.2019.
Тест. Алгебра, 10 класс
Бұл тестте функция,оның қасиеттері және графигі туралы сұрақтар болады.
Система оценки:
5 балльная
Список вопросов теста
Вопрос 1
Графигі бойынша функцияның қанша экстремум нүктесі бар екенін анықта:
Варианты ответов
- 3
- 5
- 8
- 6
Вопрос 2
Графигі берілген функцияның экстремумдарын тап:
Варианты ответов
- x max=1,x min=-1,x min=3
- y max=1,y min=-1,y min=3
- y max=0,y min=4
- y min=0,y max=4
Вопрос 3
Графигі берілген функцияның өсу аралықтарын жаз:
Варианты ответов
- [-1;0]
- [-3;-1]
- [-5; -3]
- [-7;-6]
- [1;+∞)
- [0;1]
- [-6;-5]
- (-∞;-7]
Вопрос 4
Жұп функцияны анықта:1)f(x)=x8-2x
2)f(x)=x4-x2+3x
3)f(x)=cos(x)-2IxI
4)f(x)=x4-x2+3IxI
5)f(x)=sin(x)+x
Варианты ответов
- 1
- 2
- 3
- 4
- 5
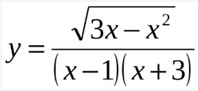
Вопрос 5

Функцияның анықталу облысын тап:
Варианты ответов
- (-∞;0)U(0;3)U(3;+∞)
- (-∞;-3)U(-3;0)U(0;1)U(3;+∞)
- (-∞;-3)U(-3;0)U(0;1)U(1;3)U(3;+∞)
- (-∞;-3)U(-3;0]U[0;1)U(1;3]U[3;+∞)
Получите комплекты видеоуроков + онлайн версии
Пройти тест
Сохранить у себя:
Тесты по алгебре 10 класс
0
2126
Нравится
0


