Функция обратной пропорциональности
Список вопросов теста
Вопрос 1
Как называется кривая, являющаяся графиком обратной пропорциональности, изображенная на рисунке? В ответе укажите только слово. Например, прямая

Вопрос 2
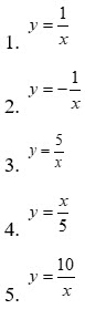
Задайте формулой обратную пропорциональность, изображенную на рисунке.


Варианты ответов
- 1
- 2
- 3
- 4
- 5
Вопрос 3
Принадлежит ли точка с координатами (-2,5; -2) данному графику.

Варианты ответов
- Принадлежит
- Не принадлежит
Вопрос 4
В каких четвертях координатной плоскости лежит график, изображенный на рисунке?

Варианты ответов
- I - четверть
- II - четверть
- III - четверть
- IV - четверть
Вопрос 5
В каких четвертях координатной плоскости расположен график, изображенный на рисунке?

Варианты ответов
- I - четверть
- II - четверть
- III - четверть
- IV - четверть
Вопрос 6
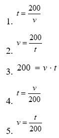
Двигаясь со скоростью v км/ч, автомобиль проезжает расстояние равное 200 км, за время t ч. Выберите формулу, выражающую зависимость времени от скорости.

Варианты ответов
- 1
- 2
- 3
- 4
- 5
Вопрос 7
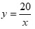
Обратная пропорциональность задана данной формулой.
Найдите значение функции, соответствующее значению аргумента, равному 0,02.

Варианты ответов
- 1000
- 0,4
- 20
- 0,02
- 100
Вопрос 8
На рисунке построен график функции. Найдите по графику значение х, которому соответствует значение у, равное 1. В ответ запишите только число, например 0. Если в ответе получится десятичная дробь, то отделите целую часть от дробной запятой. Например: 0,3

Вопрос 9
На рисунке построен график функции. Найдите по графику значение у, соответствующее значению х, равному -2. В ответ запишите только число, например 5. Если в ответе получится десятичная дробь, то отделите целую часть от дробной запятой. Например: 0,3. Если ответ получится отрицательным, то пробел между знаком минус и числом ставить не нужно. Например, -25

Вопрос 10
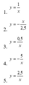
Задайте формулой обратную пропорциональность, зная, что ее график проходит через точку A (0,5; 5).

Варианты ответов
- 1
- 2
- 3
- 4
- 5


