Функции y= x^(-n), их свойства и графики 1
Список вопросов теста
Вопрос 1
Укажите область определения функции \(f\left(x\right)=\frac{1}{\left(x-3\right)^3}+1\)
Варианты ответов
-
\(\left(-\infty;3\right)\)
-
\(\left(-\infty;3\right)\cup\left(3;+\infty\right)\)
-
\(\left(-3;1\right)\)
-
\(\left(3;+\infty\right)\)
Вопрос 2
Укажите область значений функции \(y=x^{-4}+2\)
Варианты ответов
-
\(\left(0;+\infty\right)\)
-
\(\left(-\infty;-4\right)\)
-
\(\left(-\infty;+\infty\right)\)
-
\(\left(2;+\infty\right)\)
Вопрос 3
Найдите точки пересечения граыиков функций \(f\left(x\right)=-\frac{1}{x^3}\) и \(g\left(x\right)=-x\)
Варианты ответов
- (-1;1) и (1;-1)
- (-1;1)
- (1;-1)
- такие точки не существуют
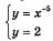
Вопрос 4
Определите число решений системы уравнений 
Варианты ответов
- 2
- 3
- 1
- 0
Вопрос 5
Найдите наибольшее значение функции \(y=x^{-3}\) на отрезке [1;3]
Варианты ответов
- 27
- 1
-
\(\frac{1}{27}\)
-
\(\frac{1}{3}\)
Вопрос 6
Найдите наименьшее значение функции \(y=x^{-5}\) на промежутке (-2;1]
Варианты ответов
-
\(-\frac{1}{32}\)
-
\(\frac{1}{32}\)
-
\(-\frac{1}{2}\)
-
не существует
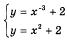
Вопрос 7
Определите число решений системы уравнений 
Варианты ответов
- 0
- 1
- 2
- 3
Вопрос 8
Какая из точек принадлежит графику функции \(f\left(x\right)=x^{-3}-1\)
Варианты ответов
- (1;0)
- (1;2)
- (-3;-1)
- (1;3)
Вопрос 9
Найдите нули функции \(y=x^{-7}-1\)
Варианты ответов
- -1 и 1
- -1
- 1
- не существуют
Вопрос 10
Какой график соответствует функции \(y=x^{-5}+1\)






