Формулы комбинаторики
Список вопросов теста
Вопрос 1
Перестановкой из n элементов называется
Варианты ответов
- соединения, которые состоят из одних и тех же n элементов и отличаются друг от друга только порядком их расположения
- соединения, каждое из которых содержит n элементов, взятых из данных m разных элементов, и которые отличаются друг от друга по крайней мере одним элементом
- любые соединения, каждое из которых содержит n элементов, взятых из данных m разных элементов
Вопрос 2
Как называются соединения, каждое из которых содержит n элементов, взятых из данных m разных элементов, и которые отличаются друг от друга по крайней мере одним элементом?
Варианты ответов
- Сочетаниями из m элементов по n в каждом
- Размещениями из m элементов по n элементов
- Перестановками из m элементов по n в каждом
Вопрос 3
.Формула Pn=n! является формулой ...
Варианты ответов
- числа перестановок
- числа сочетаний
- числа размещений
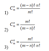
Вопрос 4
Выберите верную формулу

Вопрос 5
С помощью чего можно легко найти биномиальные коэффициенты?
Варианты ответов
- c помощью треугольника Паскаля
- c помощью прямоугольника Паскаля
- c помощью многоугольника Паскаля
- С помощью квадрата Паскаля
Вопрос 6
Чему равна данная сумма?

Вопрос 7
Отметьте верные утверждения.
Варианты ответов
- Число членов многочлена, получаемого при записи разложения степени бинома, на единицу меньше показателя m степени бинома, т. е. равно m - 1
- Показатели степени первого слагаемого бинома последовательно убывают на единицу от m до 0, а показатели второго последовательно возрастают на единицу от 0 до m.
- Биномиальные коэффициенты, равноудалённые от начала и конца разложения по формуле бинома Ньютона, равны между собой.
Вопрос 8
Какое из выражений является разложением бинома (x - 2)4?
Варианты ответов
-
x 4 - 8x 3 + 24x 2 - 32x + 16
-
x 4 - 8x 3 + 24x 2 - 32x
-
x 4 - 8x 3 + 24x 2 - 32x + 48
Вопрос 9
Отметьте верные равенства.

Варианты ответов
- 1
- 2
- 3
- 4
Вопрос 10
Найдите значения выражений.
1.
6!
2.
3!
3.
2!-3!
4.
4!+1
Варианты ответов
- 720
- 25
- 6
- -4
Вопрос 11
Сколькими способами можно распределить два билета на разные кинофильмы между тремя друзьями?
Вопрос 12
При составлении трёхзначного кода используют все буквы русского алфавита, не повторяя их. Укажите формулу, позволяющую найти число таких кодов.
Варианты ответов
-
\(\frac{30!}{33!}\)
-
\(\frac{33!}{30!}\)
-
\(\frac{33!}{3!30!}\)
-
\(\frac{3!}{33!}\)
Вопрос 13
Сколькими способами 18 учеников можно разбить на пары?
Вопрос 14
Сколькими способами из 8 учеников можно выбрать 3, если:
а) им нужно подежурить в столовой;
б) 1-ый должен вымыть доску, 2-ому нужно полить цветы, а 3-ему поднять все стулья в классе?
В ответе укажите модуль разности значений, полученных в каждом из пунктов.
Вопрос 15
Найти значение выражения \(\frac{149!}{148!}-\frac{36!}{35!}\)
Варианты ответов
- 113
- 1
- 0
- 185


